Seneste opdatering :
27/01/2026
Antibiotisk   Tobramycin sulfate   
Øjendråber
Aerosol Injektion Oral opløsning
Stabilitet af farmaceutiske tilberedninger Stabilitet i blandinger Faktorer der påvirker stabiliteten Kompatibilitet Bibliografi pdf
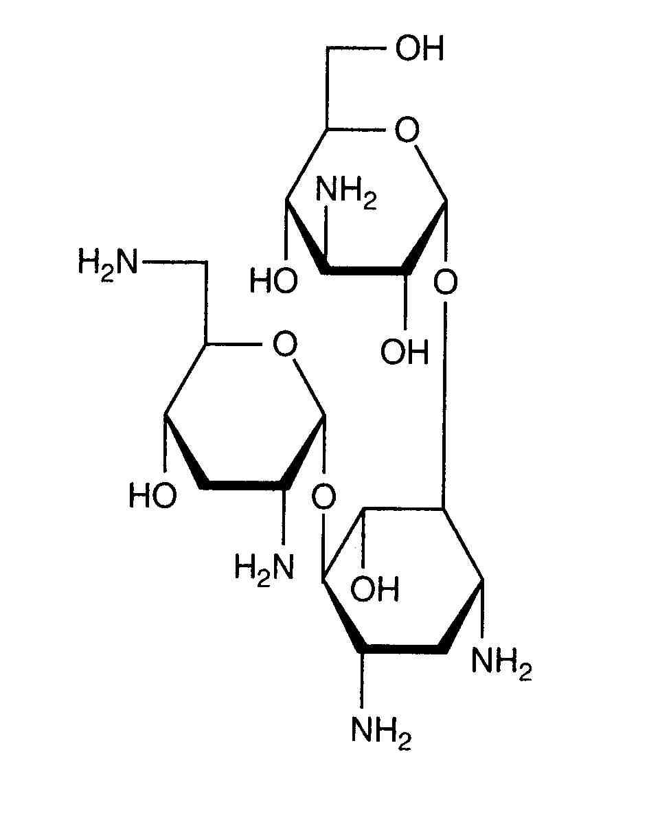
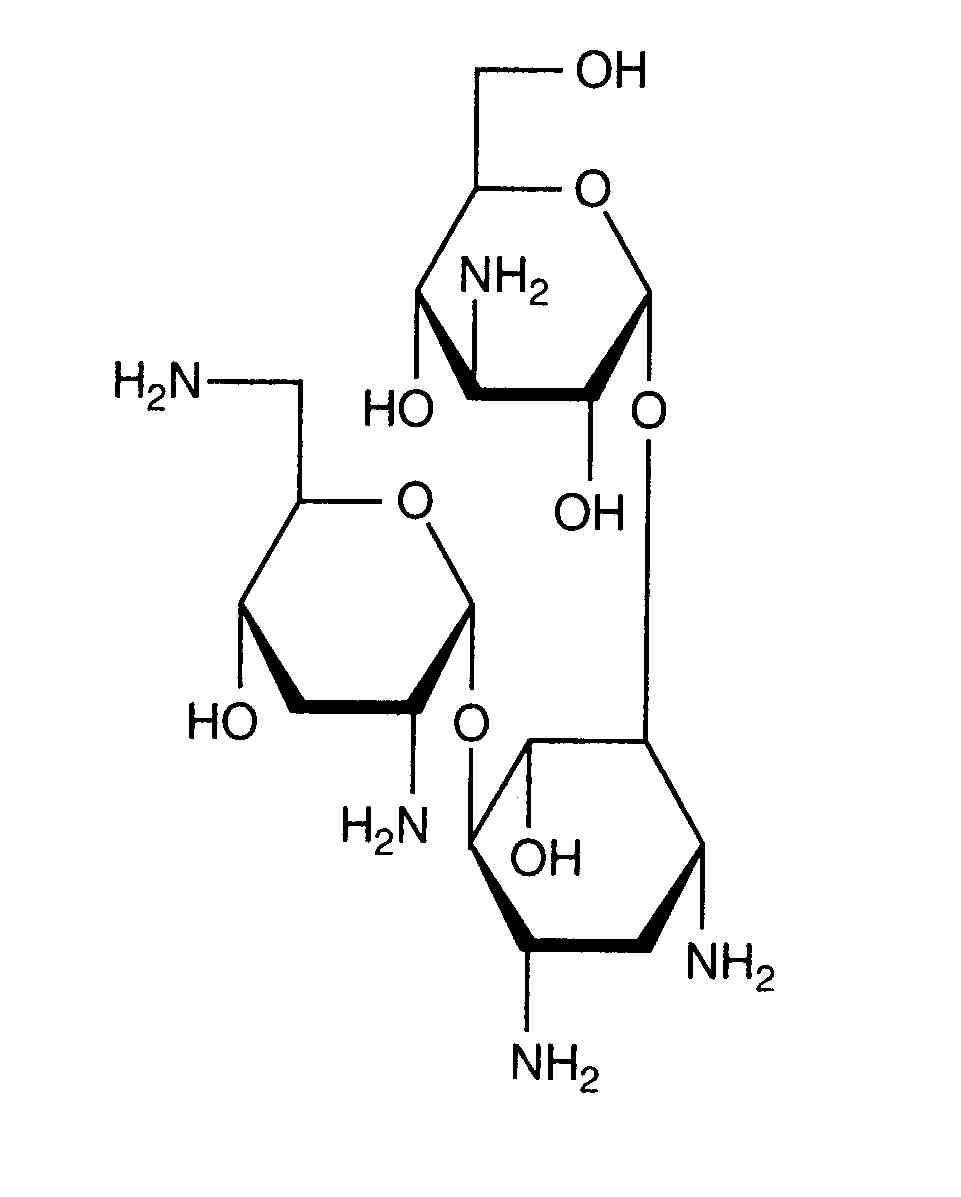
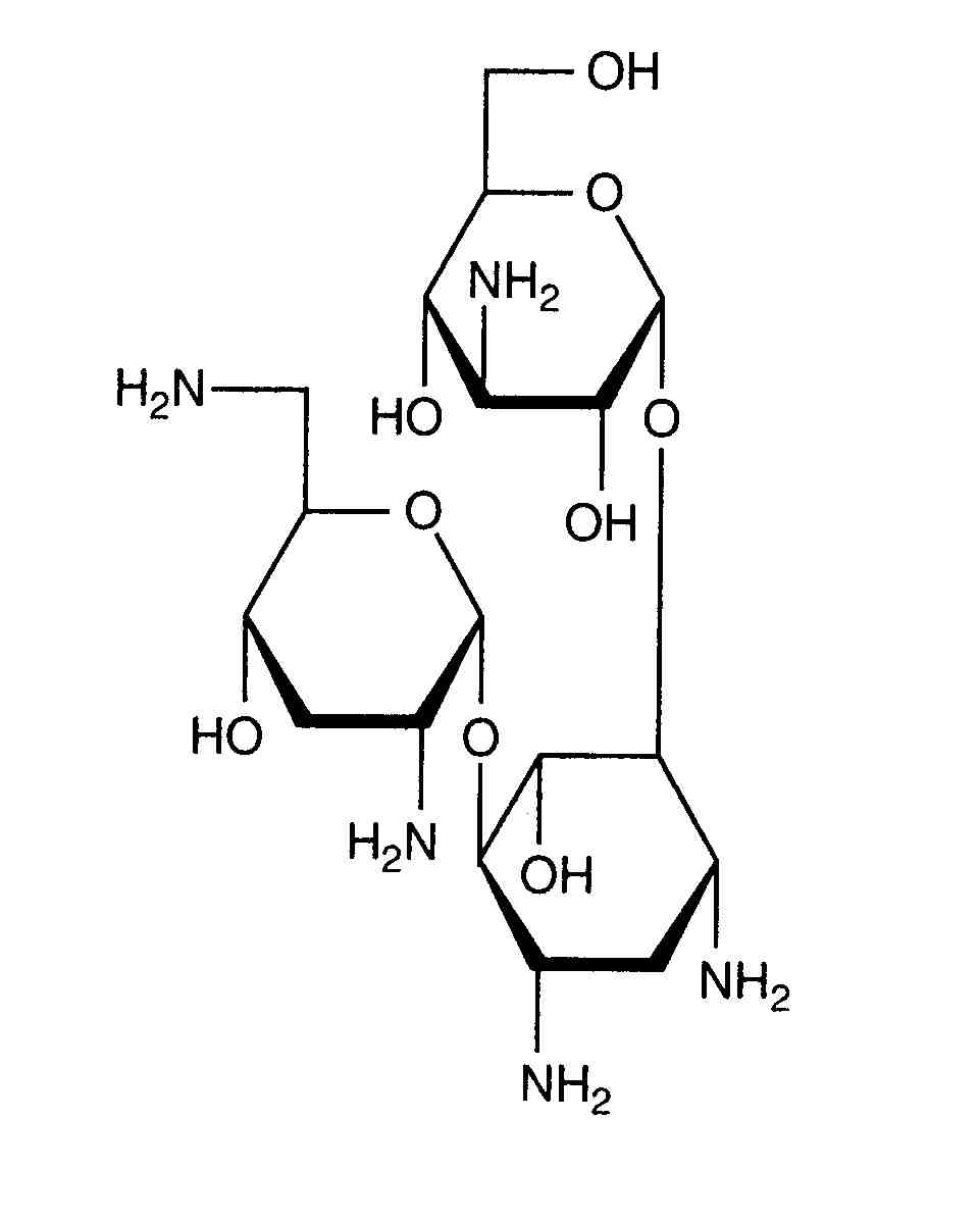
   Kemisk struktur  

Øjendråber
Bibliografi   Øjendråber   Bibliografi : Tobramycin sulfate   
Type offentliggørelse
2487 Journal McBride HA, Martinez DR, Trang JM, Lander RD, Helms HA.
Stability of gentamicin sulfate and tobramycin sulfate in extemporaneously prepared ophthalmic solutions at 8 degrees C
Am J Hosp Pharm 1991 ; 48: 507-509.

  Mentions Légales