viimane versioon :
27/01/2026
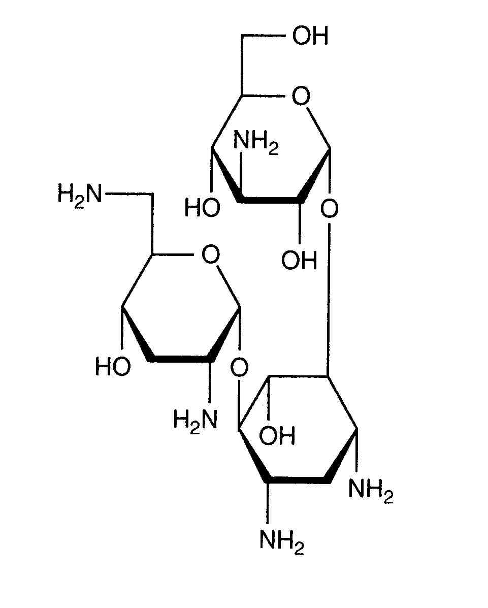
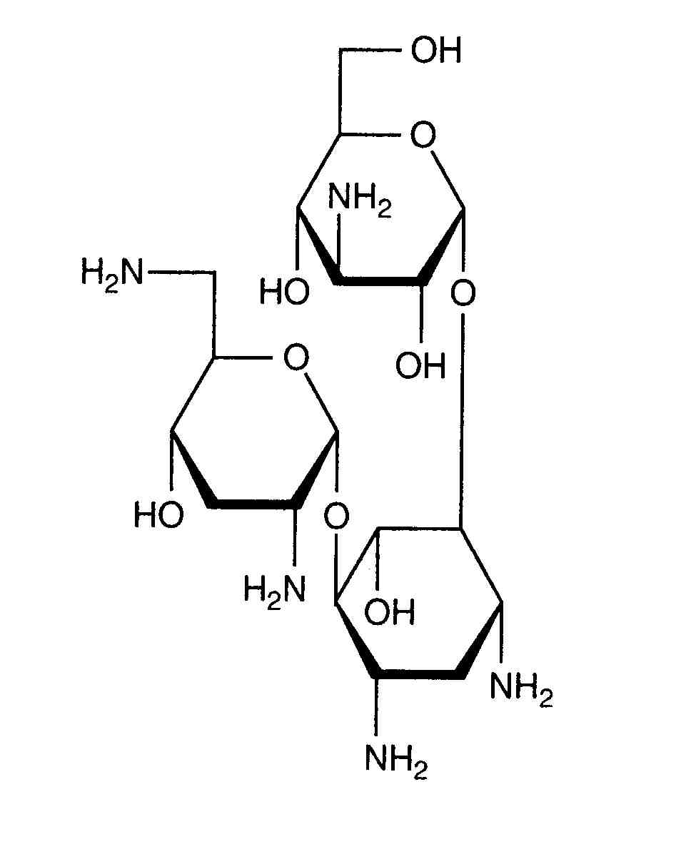
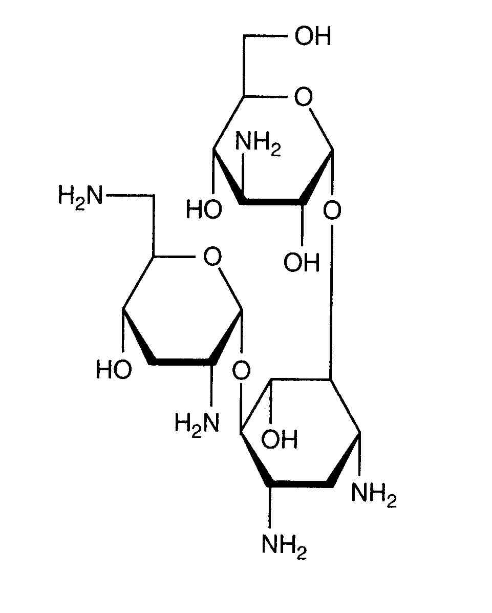
antibiootikum   Tobramycin sulfate   
Silmatilgad
aerosool Süsteravim suukaudne lahus
Stabiilsust ravimpreparaadid Stabiilsust mõjutavad tegurid stabiilsust mõjutavad faktorid Sobimatus Viited pdf
   keemiline struktuur  

Silmatilgad
Viited   Silmatilgad   Viited : Tobramycin sulfate   
tüüp avaldamine
2487 ajaleht McBride HA, Martinez DR, Trang JM, Lander RD, Helms HA.
Stability of gentamicin sulfate and tobramycin sulfate in extemporaneously prepared ophthalmic solutions at 8 degrees C
Am J Hosp Pharm 1991 ; 48: 507-509.

  Mentions Légales