Ultimo aggiornamento :
27/01/2026
Antibiotico   Tobramycin sulfate   
Collirio
Aerosol Iniezione Soluzione orale
Stabilità dei preparati farmaceutici Stabilità in miscela Fattori che influenzano la stabilità Compatibilità Bibliografia pdf
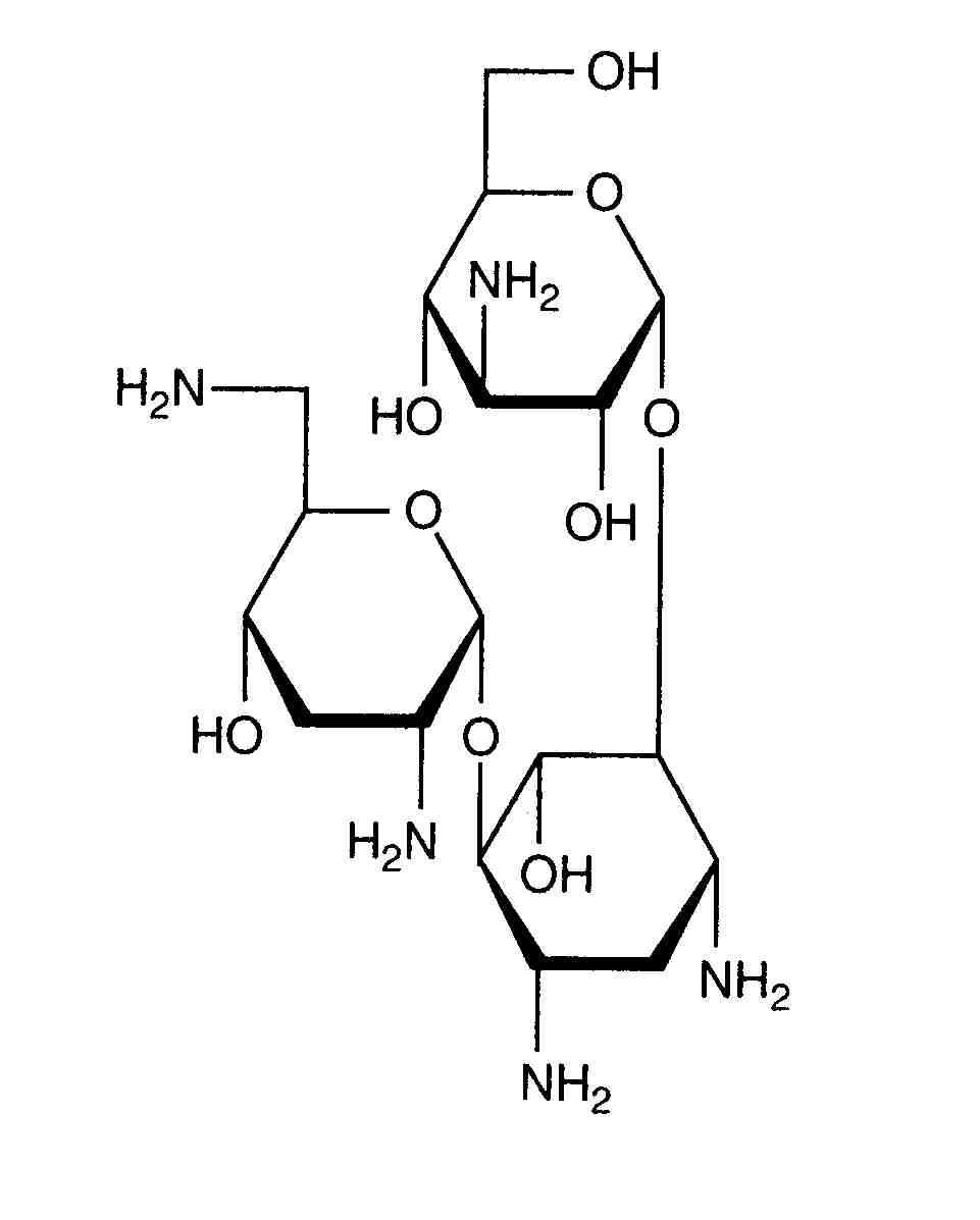
   Struttura chimica  

Collirio
Bibliografia   Collirio   Bibliografia : Tobramycin sulfate   
tipo pubblicazione
2487 Rivista McBride HA, Martinez DR, Trang JM, Lander RD, Helms HA.
Stability of gentamicin sulfate and tobramycin sulfate in extemporaneously prepared ophthalmic solutions at 8 degrees C
Am J Hosp Pharm 1991 ; 48: 507-509.

  Mentions Légales