Ostatnia aktualizacja :
27/01/2026
Antybiotyk   Tobramycin sulfate   
Krople oczne
Aerozol Injekcje Roztwór doustny
Stabilność preparatów farmaceutycznych Trwałość w mieszaninie Czynnik wpływający na trwałość Zgodność Bibliografia pdf
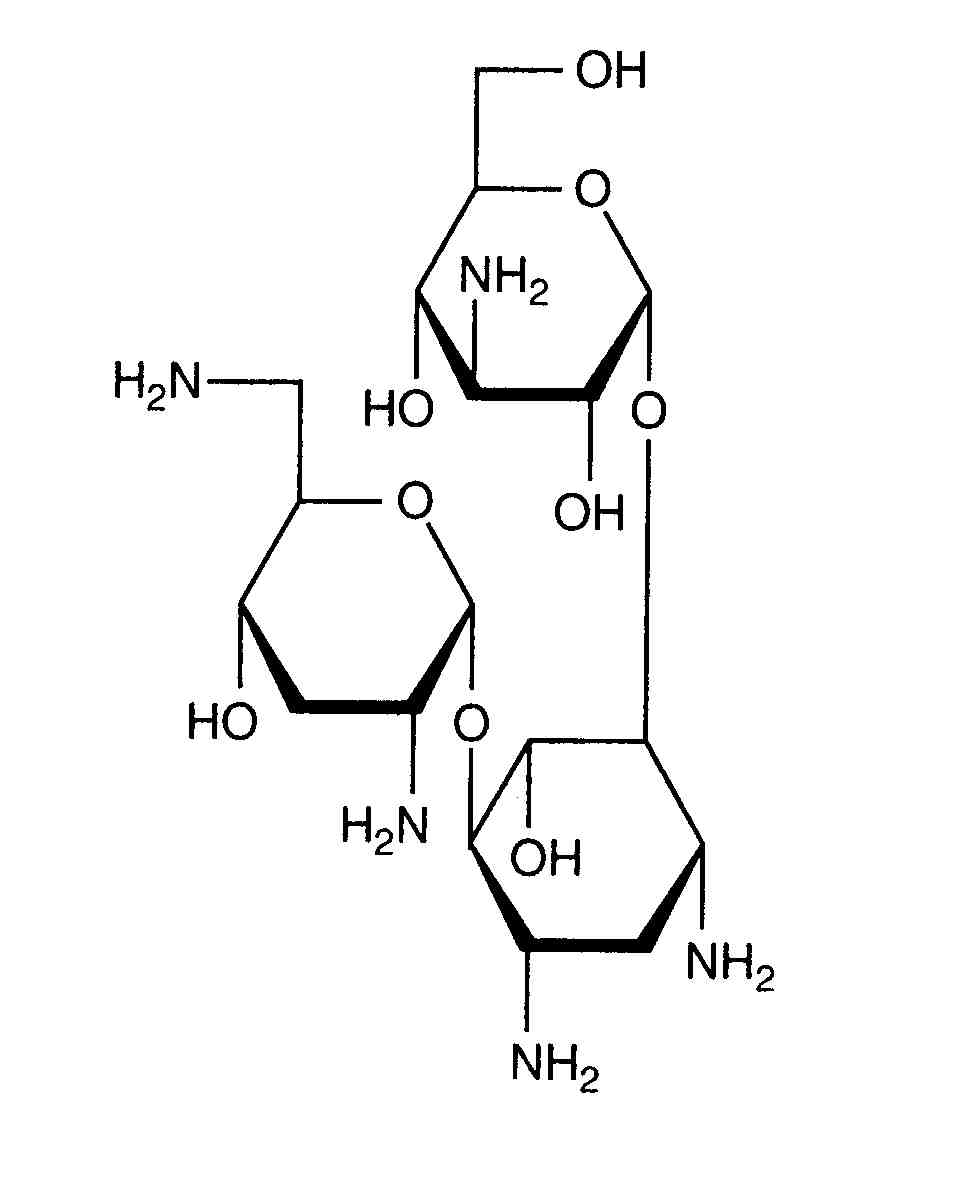
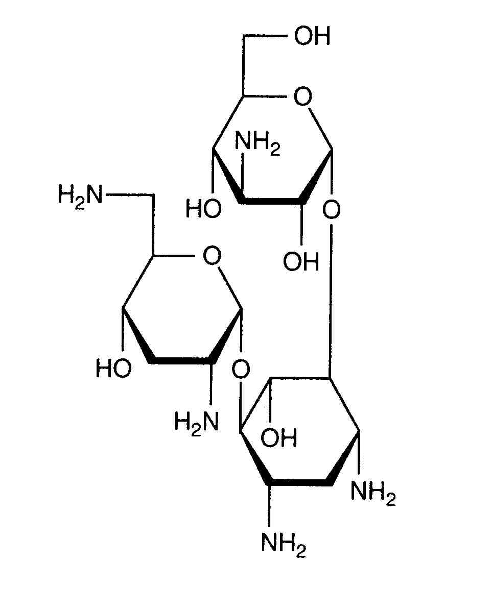
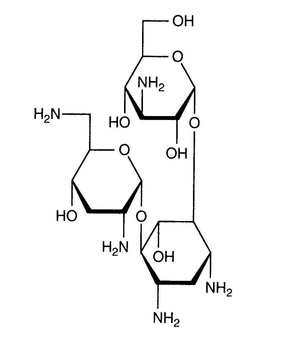
   Struktura chemiczna  

Krople oczne
Bibliografia   Krople oczne   Bibliografia : Tobramycin sulfate   
typ publikacja
2487 Czasopismo McBride HA, Martinez DR, Trang JM, Lander RD, Helms HA.
Stability of gentamicin sulfate and tobramycin sulfate in extemporaneously prepared ophthalmic solutions at 8 degrees C
Am J Hosp Pharm 1991 ; 48: 507-509.

  Mentions Légales