Son güncelleme :
27/04/2026
Antifungal   Amphotericin B  
Aerosol
Enjeksiyon Gargara Göz damlası Oral solüsyon / oral çözelti
Farmasötik preparatlar Kararlılığı Karışımlardaki stabilitesi Stabiliteyi etkileyen faktörler Uyumluluk Kaynaklar pdf
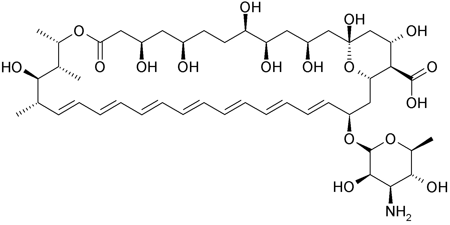
   Kimyasal yapı   

Aerosol
Karışımlardaki stabilitesi   Aerosol   Karışımlardaki stabilitesi : Amphotericin B     
veri yok

  Mentions Légales