Τελευταία ενημέρωση :
27/04/2026
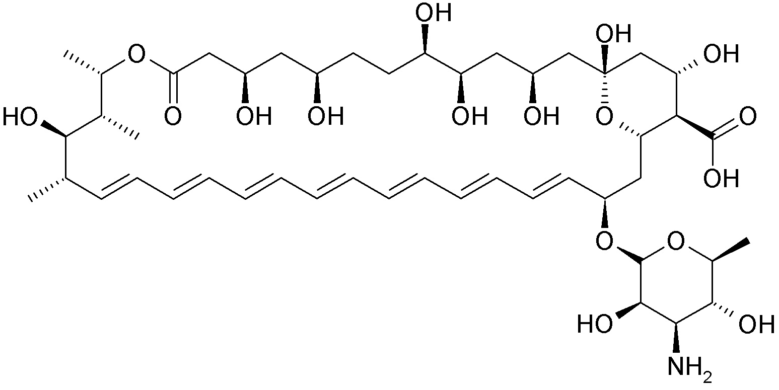
Αντιμυκητικό   Amphotericin B  
Αεροζόλ
Ενέσιμο Οφθαλμικές σταγόνες Πόσιμο διάλυμα Στοματικό διάλυμα
Σταθερότητα και συμβατότητα των φαρμάκων Σταθερότητα σε μίγματα Παράγοντας που επηρεάζει τη σταθερότητα Συμβατότητες Βιβλιογραφία pdf
   χημική δομή  

Αεροζόλ
Σταθερότητα σε μίγματα   Αεροζόλ   Σταθερότητα σε μίγματα : Amphotericin B     
Δεν υπάρχουν πληροφορίες

  Mentions Légales