viimane versioon :
27/04/2026
Seenevastane ravim   Amphotericin B  
aerosool
Silmatilgad Süsteravim suukaudne lahus Suuloputus lahus
Stabiilsust ravimpreparaadid Stabiilsust mõjutavad tegurid stabiilsust mõjutavad faktorid Sobimatus Viited pdf
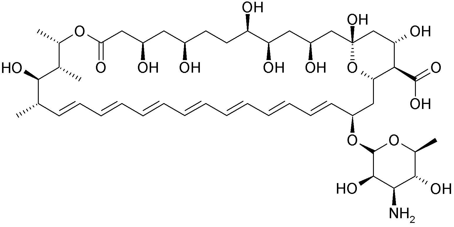
   keemiline struktuur  

aerosool
Stabiilsust mõjutavad tegurid   aerosool   Stabiilsust mõjutavad tegurid : Amphotericin B     
andmed puuduvad

  Mentions Légales