Ultimele actualizari :
27/04/2026
Antifungic   Amphotericin B  
Aerosol
colir Gargara Injectabil Soluţie orală
Stabilitatea preparatelor farmaceutice Stabilitatea in amestec Factorii care influenteaza stabilitatea Compatibilitate Bibliografie pdf
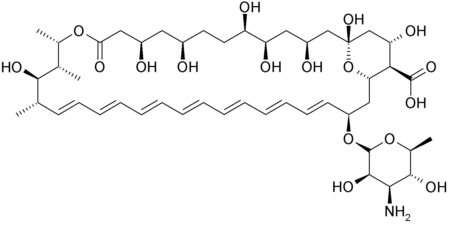
   Formula chimica  

Aerosol
Stabilitatea in amestec   Aerosol   Stabilitatea in amestec : Amphotericin B     
Absenta de date

  Mentions Légales