Zadnji put ažurirano :
27/04/2026
antifungicid   Amphotericin B  
aerosol
injekcija kapi za oko oralna otopina  otopina za ispiranje usne šupljine
Stabilnost farmaceutskih pripravaka Stabilnost mješavine Stabilizacijski faktor Kompatibilnosti Bibliografija pdf
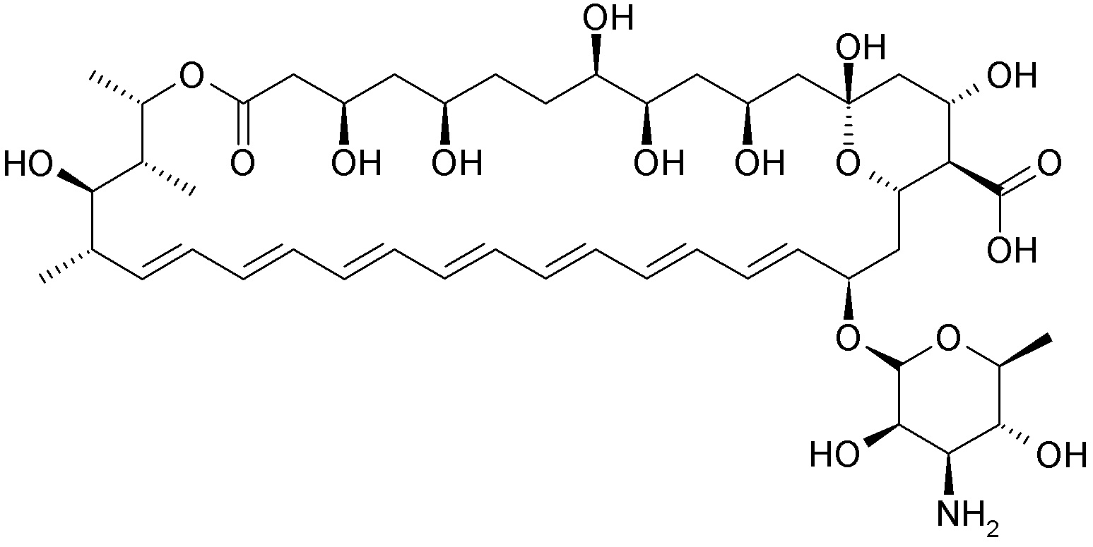
   Kemijska struktura  

aerosol
Stabilnost mješavine   aerosol   Stabilnost mješavine : Amphotericin B     
bez podataka

  Mentions Légales