Ultimo aggiornamento :
27/04/2026
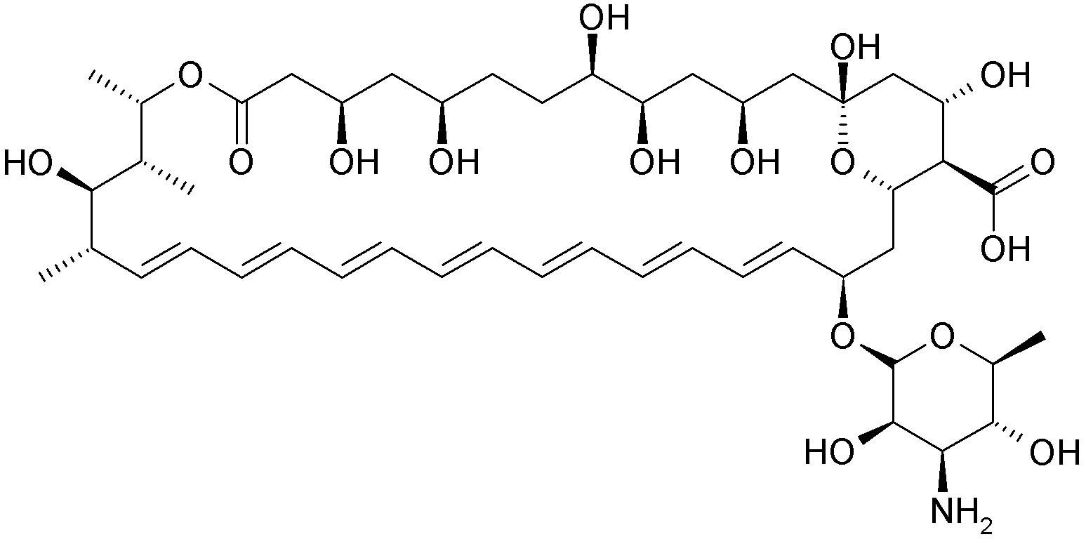
Antimicotico   Amphotericin B  
Aerosol
Collirio Collutorio Iniezione Soluzione orale
Stabilità dei preparati farmaceutici Stabilità in miscela Fattori che influenzano la stabilità Compatibilità Bibliografia pdf
   Struttura chimica  

Aerosol
Stabilità in miscela   Aerosol   Stabilità in miscela : Amphotericin B     
Assenza di dati

  Mentions Légales