Laatste update :
27/04/2026
Antimycoticum   Amphotericin B  
Aerosol
gorgelen injecteerbaar geneesmiddel Oogwater Orale Oplossing
Stabiliteit van farmaceutische preparaten Stabiliteit in mengsels Factoren die de stabiliteit beïnvloeden Verenigbaarheden Literatuur pdf
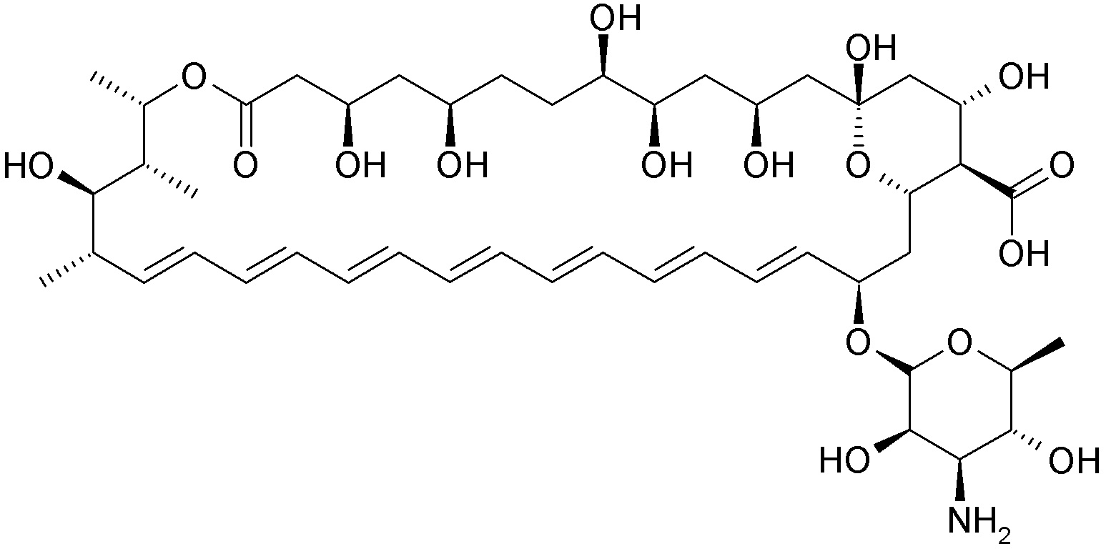
   Molecuulstructuur  

Aerosol
Stabiliteit in mengsels   Aerosol   Stabiliteit in mengsels : Amphotericin B     
geen gegevens

  Mentions Légales