Son güncelleme :
27/01/2026
elektrolit   Calcium gluconate  
Merhem
Enjeksiyon
Farmasötik preparatlar Kararlılığı Karışımlardaki stabilitesi Stabiliteyi etkileyen faktörler Uyumluluk Kaynaklar pdf
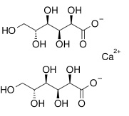
   Kimyasal yapı   

Merhem

Stabiliteyi etkileyen faktörler    Merhem   Stabiliteyi etkileyen faktörler : Calcium gluconate        
veri yok

  Mentions Légales