آخر تحديث :
27/01/2026
المنحل بالكهرباء   Calcium gluconate  
المراهم
حقن
استقرار المستحضرات الصيدلانية استقرار مخاليط العوامل التي تؤثر على الاستقرار التوافق مراجع pdf
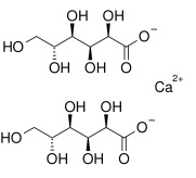
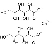
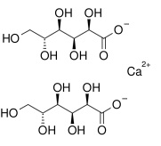
   التركيب الكيميائي  

المراهم

العوامل التي تؤثر على الاستقرار   المراهم   العوامل التي تؤثر على الاستقرار : Calcium gluconate        
لا توجد بيانات

  Mentions Légales