Τελευταία ενημέρωση :
27/01/2026
ηλεκτρολυτών   Calcium gluconate  
Αλοιφές
Ενέσιμο
Σταθερότητα και συμβατότητα των φαρμάκων Σταθερότητα σε μίγματα Παράγοντας που επηρεάζει τη σταθερότητα Συμβατότητες Βιβλιογραφία pdf
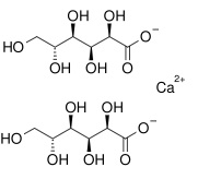
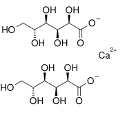
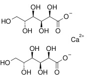
   χημική δομή  

Αλοιφές

Παράγοντας που επηρεάζει τη σταθερότητα   Αλοιφές   Παράγοντας που επηρεάζει τη σταθερότητα : Calcium gluconate        
Δεν υπάρχουν πληροφορίες

  Mentions Légales