Zadnji put ažurirano :
27/01/2026
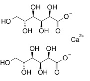
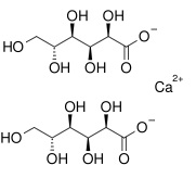
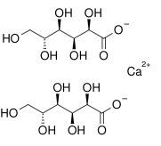
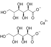
elektrolita   Calcium gluconate  
masti
injekcija
Stabilnost farmaceutskih pripravaka Stabilnost mješavine Stabilizacijski faktor Kompatibilnosti Bibliografija pdf
   Kemijska struktura  

masti

Stabilizacijski faktor   masti   Stabilizacijski faktor : Calcium gluconate        
bez podataka

  Mentions Légales