Última actualización :
27/01/2026
electrólito   Calcium gluconate  
Preparaciones tópicas
Inyectables
La estabilidad de las preparaciones farmacéuticas Estabilidad en mezcla Factores que influyen sobre la estabilidad Compatibilidades Bibliografía pdf
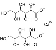
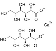
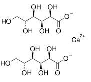
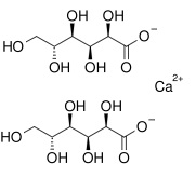
   Estructura química  

Preparaciones tópicas

Factores que influyen sobre la estabilidad   Preparaciones tópicas   Factores que influyen sobre la estabilidad : Calcium gluconate        
Ausencia de datos

  Mentions Légales