Ostatnia aktualizacja :
27/01/2026
elektrolit   Calcium gluconate  
Maści
Injekcje
Stabilność preparatów farmaceutycznych Trwałość w mieszaninie Czynnik wpływający na trwałość Zgodność Bibliografia pdf
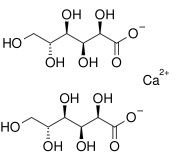
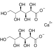
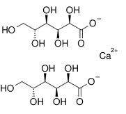
   Struktura chemiczna  

Maści

Czynnik wpływający na trwałość   Maści   Czynnik wpływający na trwałość : Calcium gluconate        
Brak danych

  Mentions Légales