Poslední aktualizace :
27/01/2026
elektrolitas   Calcium gluconate  
Tepalai
Įpurškimas
Stabilumas farmacinių preparatų Mišinių stabilumas Stabilumą lemiantys veiksniai Suderinamumas Bibliografija pdf
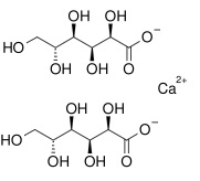
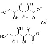
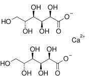
   Cheminė sandara  

Tepalai

Stabilumą lemiantys veiksniai   Tepalai   Stabilumą lemiantys veiksniai : Calcium gluconate        
Nėra duomenų

  Mentions Légales