Последнее обновление :
27/01/2026
электролит   Calcium gluconate  
Мази
Инъекция
Стабильность фармацевтических препаратов Стабильность смесей Факторы, которые влияют на стабильность Совместимость Библиография pdf
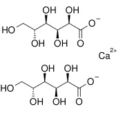
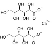
   Химическая структура  

Мази

Факторы, которые влияют на стабильность   Мази   Факторы, которые влияют на стабильность : Calcium gluconate        
данных нет

  Mentions Légales