zadnja posodobitev :
27/01/2026
elektrolit   Calcium gluconate  
Mazila
Brizgalka
Stabilnost farmacevtskih preparatov Stabilnost mešanice Faktorji, ki vplivajo na stabilnost Kompatibilnost Viri pdf
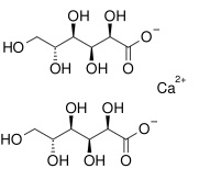
   Kemična formula  

Mazila

Faktorji, ki vplivajo na stabilnost   Mazila   Faktorji, ki vplivajo na stabilnost : Calcium gluconate        
ni podatka

  Mentions Légales