Última actualización :
27/01/2026
fármacos contra el cáncer   Etoposide  
Solución Oral
Inyectables
La estabilidad de las preparaciones farmacéuticas Estabilidad en mezcla Factores que influyen sobre la estabilidad Compatibilidades Bibliografía pdf
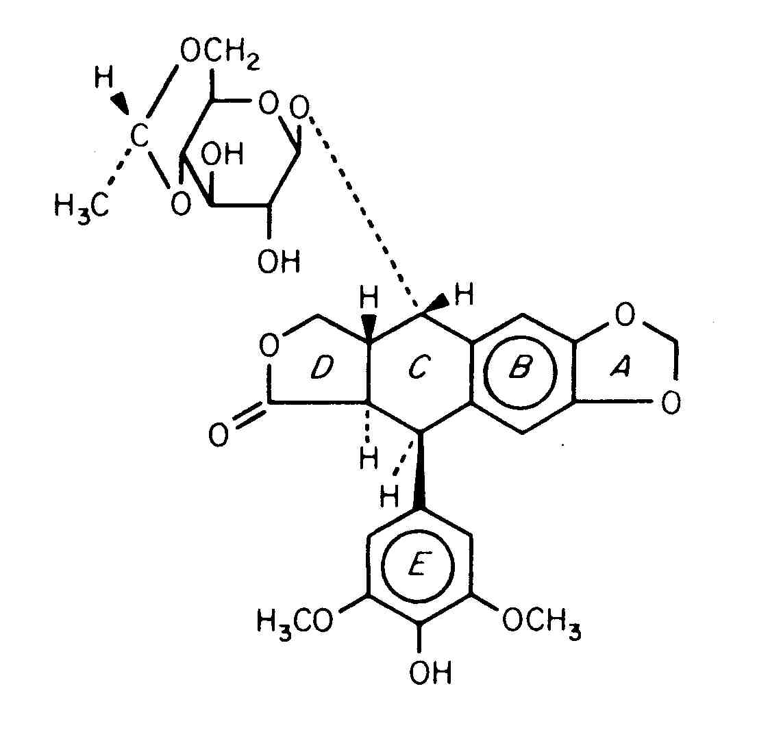
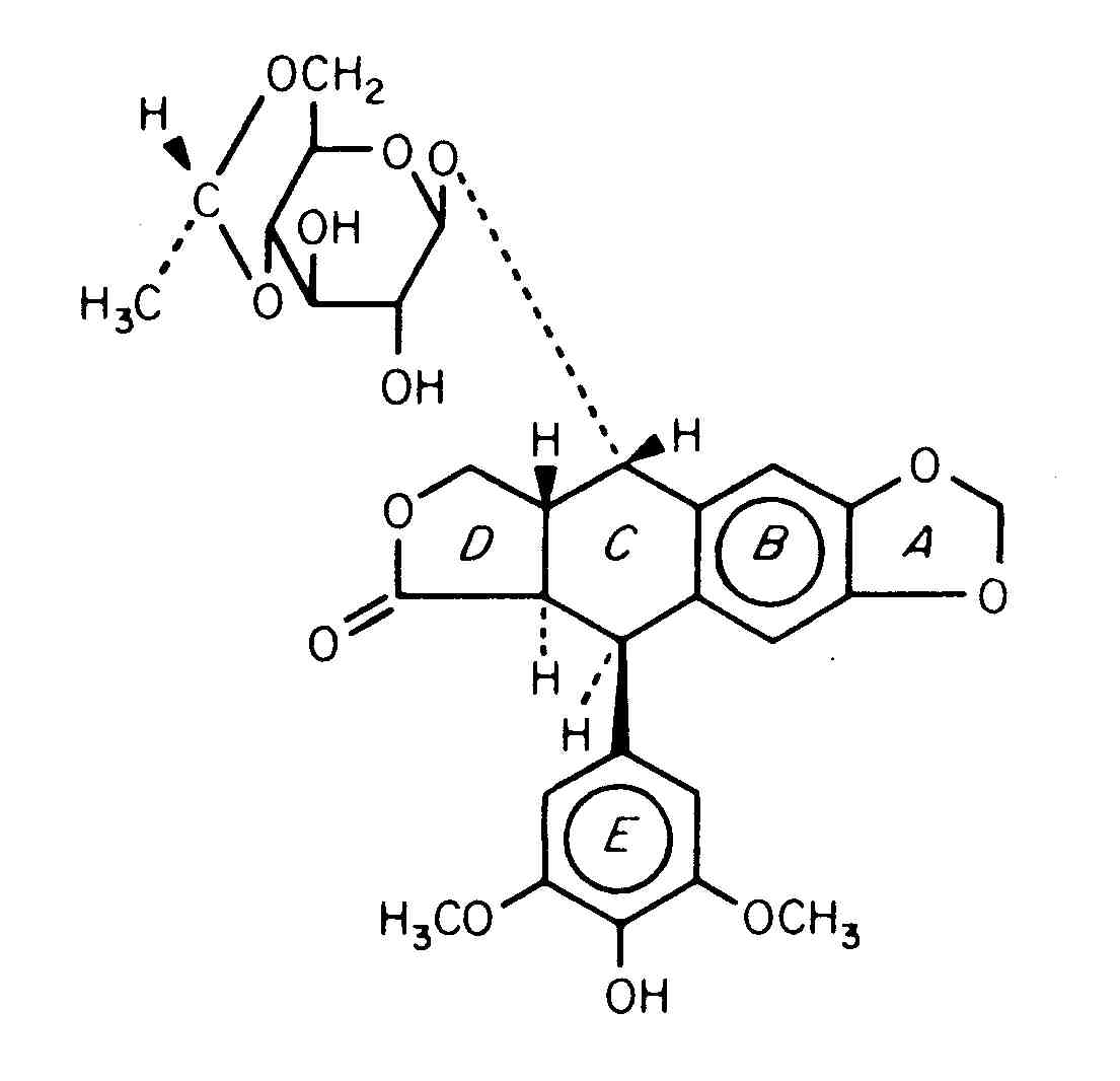
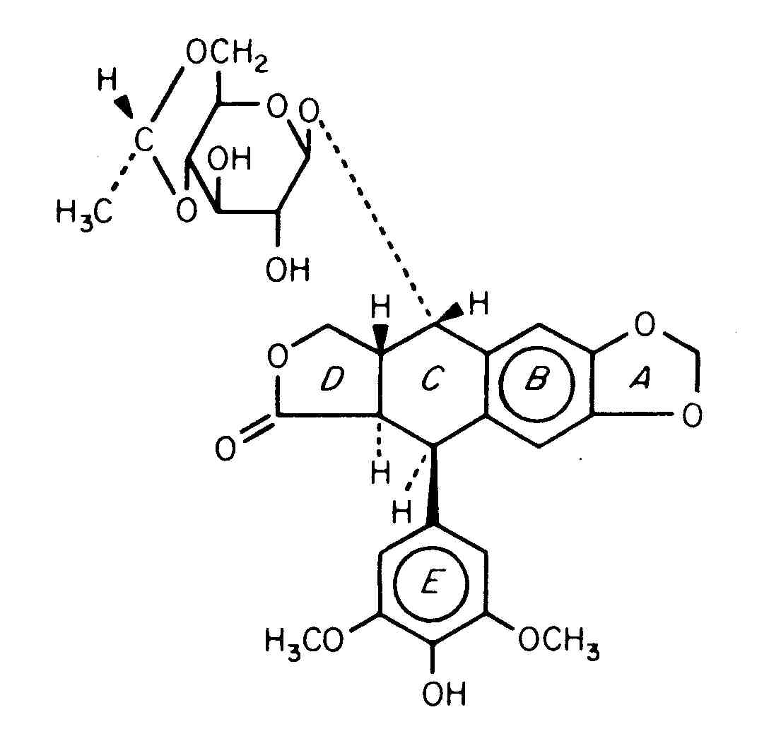
   Estructura química  

Solución Oral
La estabilidad de las preparaciones farmacéuticas   Solución Oral   La estabilidad de las preparaciones farmacéuticas : Etoposide     
Envase Origine Excipiente Temperatura Conservación Duración de la estabilidad Bibliografía
Jeringa Frasco para medicamentos inyectables 20 mg
Vepeside®
NaCl 0.9% >>2 ml
2-8°C A cubierto de la luz
31 Día
1992

Jeringa Frasco para medicamentos inyectables 20 mg
Vepeside®
NaCl 0.9% >>2 ml
20-25°C Con o sin luz
31 Día
1992

Jeringa Frasco para medicamentos inyectables 50 mg
VePesid®
NaCl 0.9% >> 5 ml
22°C Con o sin luz
22 Día
2482


  Mentions Légales