Seneste opdatering :
03/03/2026
anticancer medicin   Etoposide  
Oral opløsning
Injektion
Stabilitet af farmaceutiske tilberedninger Stabilitet i blandinger Faktorer der påvirker stabiliteten Kompatibilitet Bibliografi pdf
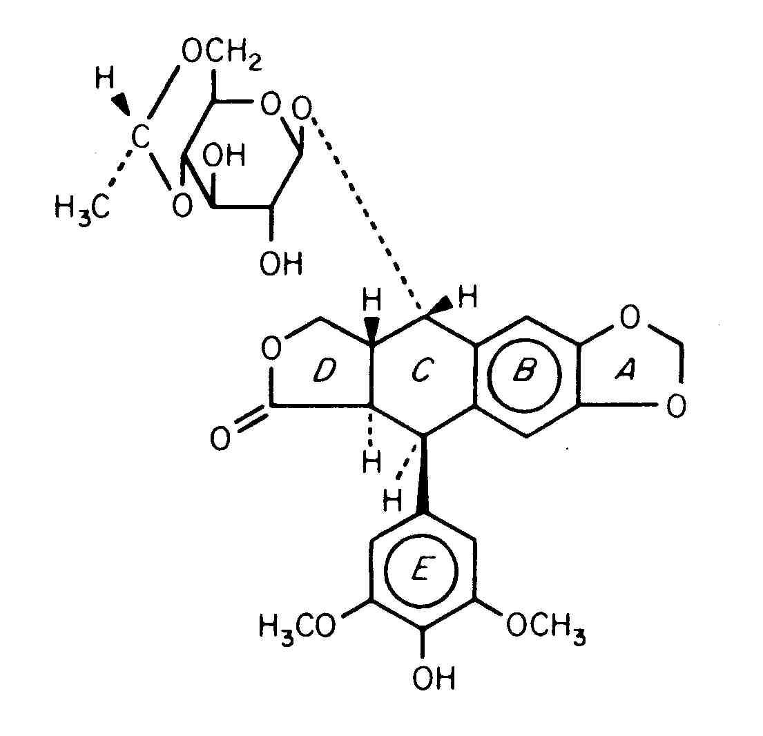
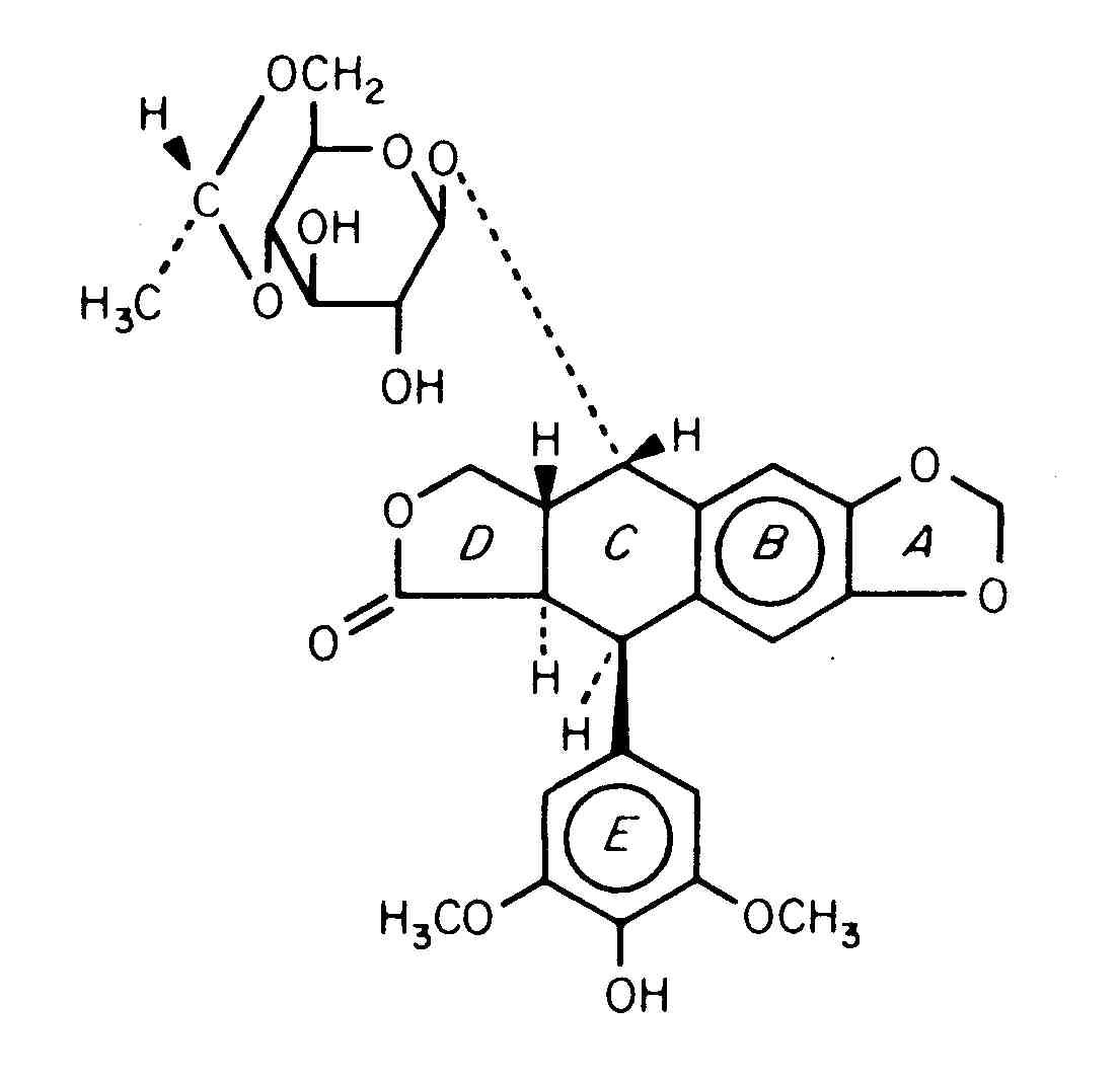
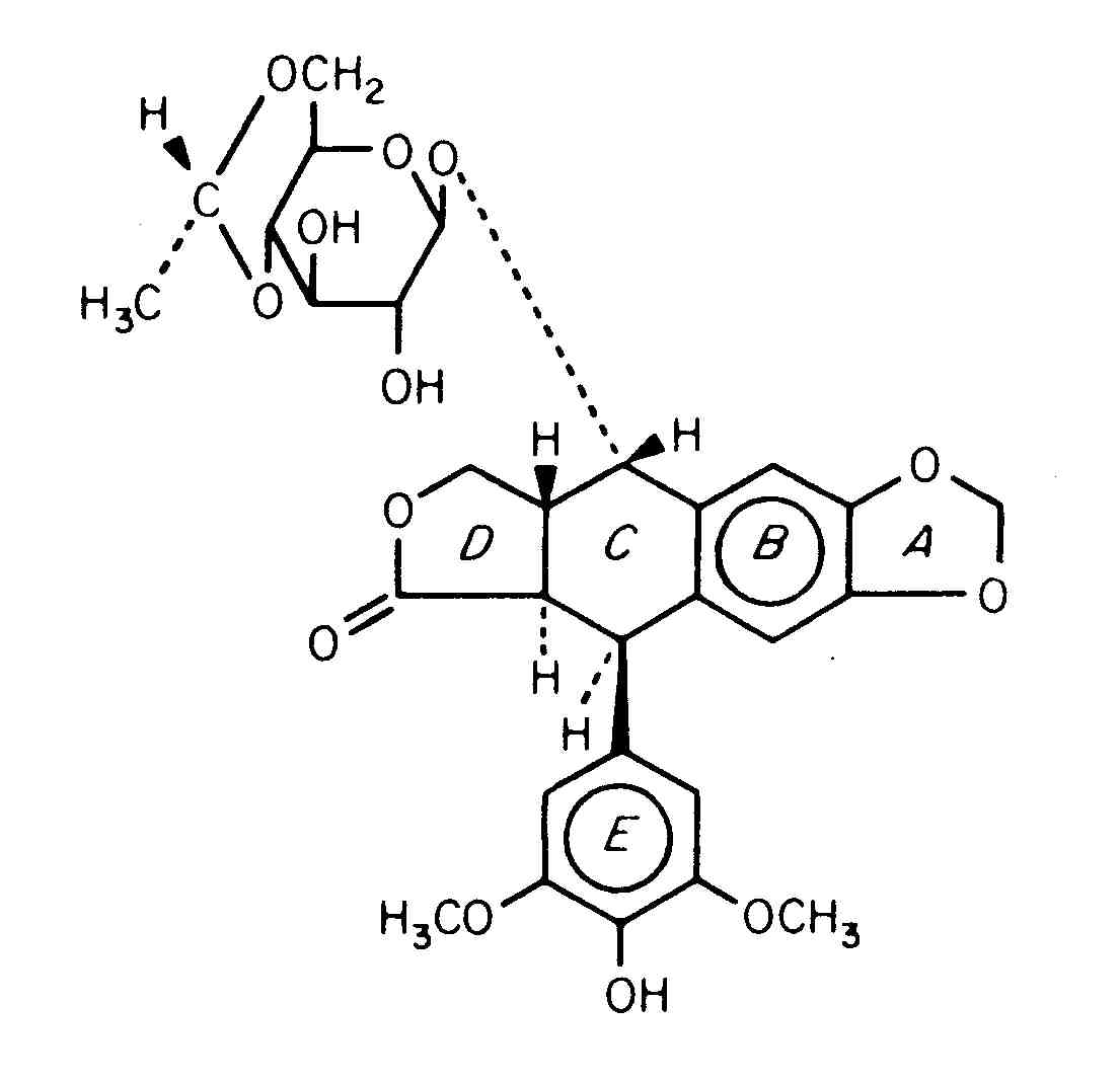
   Kemisk struktur  

Oral opløsning
Stabilitet af farmaceutiske tilberedninger   Oral opløsning   Stabilitet af farmaceutiske tilberedninger : Etoposide     
Beholder Origine Hjælpestof Temperatur Konservering Varighed af stabilitet Bibliografi
Sprøjte Medicinflaske til injektion 20 mg
Vepeside®
NaCl 0.9% >>2 ml
2-8°C Beskyt mod lys
31 Dag
1992

Sprøjte Medicinflaske til injektion 20 mg
Vepeside®
NaCl 0.9% >>2 ml
20-25°C Med eller uden lys
31 Dag
1992

Sprøjte Medicinflaske til injektion 50 mg
VePesid®
NaCl 0.9% >> 5 ml
22°C Med eller uden lys
22 Dag
2482


  Mentions Légales