Zadnji put ažurirano :
27/04/2026
lijek protiv karcinoma   Etoposide  
oralna otopina
injekcija
Stabilnost farmaceutskih pripravaka Stabilnost mješavine Stabilizacijski faktor Kompatibilnosti Bibliografija pdf
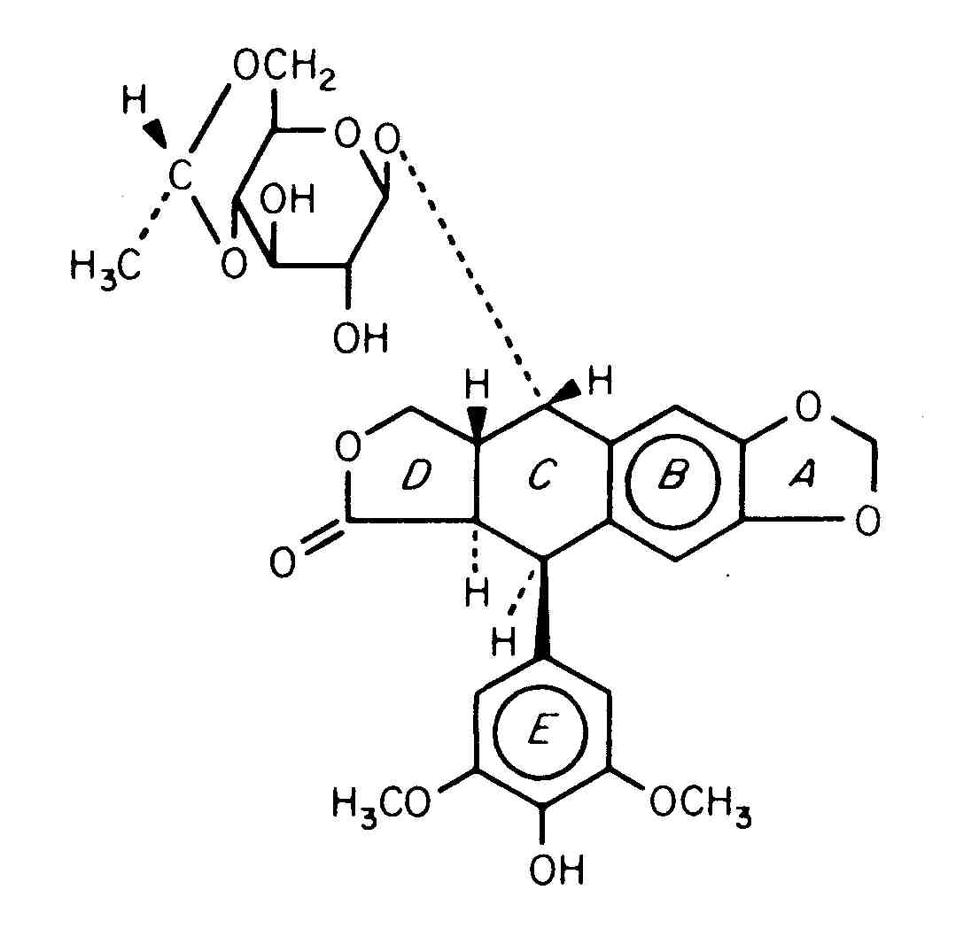
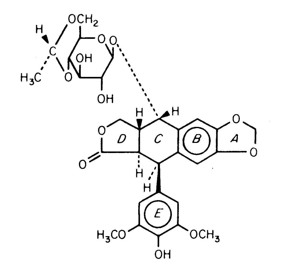
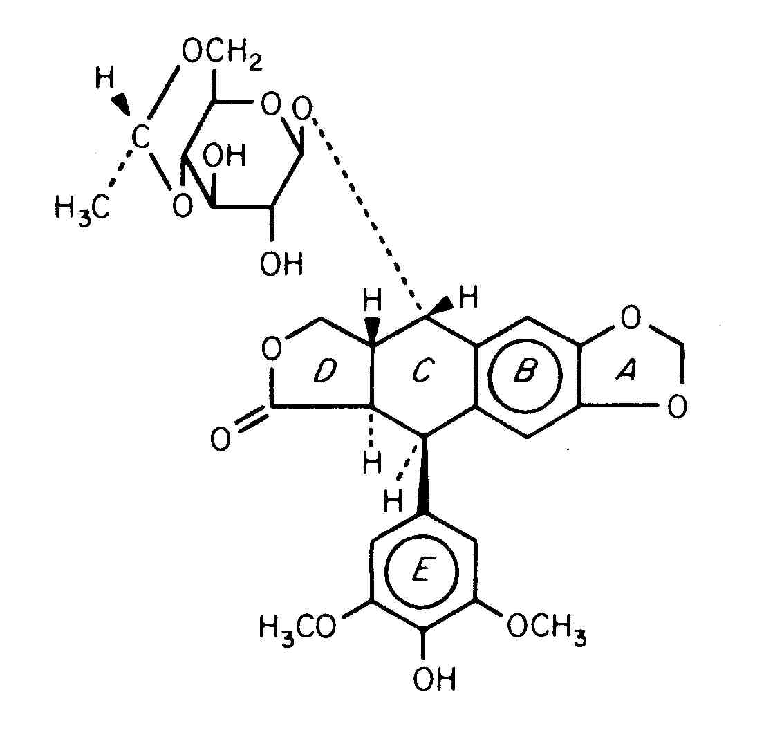
   Kemijska struktura  

oralna otopina
Stabilnost farmaceutskih pripravaka   oralna otopina     Stabilnost farmaceutskih pripravaka : Etoposide     
Kontejner Origine pomoćna tvar temperatura Konzerviranje Trajanje stabilnosti Bibliografija
šprica bočica za injekcije 20 mg
Vepeside®
NaCl 0.9% >>2 ml
2-8°C Zaštićeno od svjetlosti
31 dan
1992

šprica bočica za injekcije 20 mg
Vepeside®
NaCl 0.9% >>2 ml
20-25°C Sa i bez svjetlosti
31 dan
1992

šprica bočica za injekcije 50 mg
VePesid®
NaCl 0.9% >> 5 ml
22°C Sa i bez svjetlosti
22 dan
2482


  Mentions Légales