Последно актуализиране :
18/03/2026
противораково лекарство   Etoposide  
Орален разтвор
Инжекция/Инжекционен
Стабилност на лекарствени препарати Стабилност на смеси Фактори, повлияващи стабилността Съвместимост Библиография Pdf
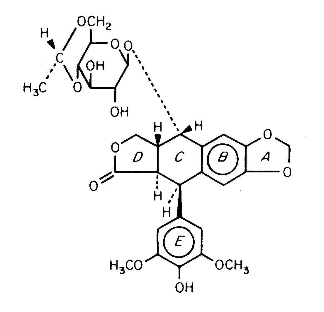
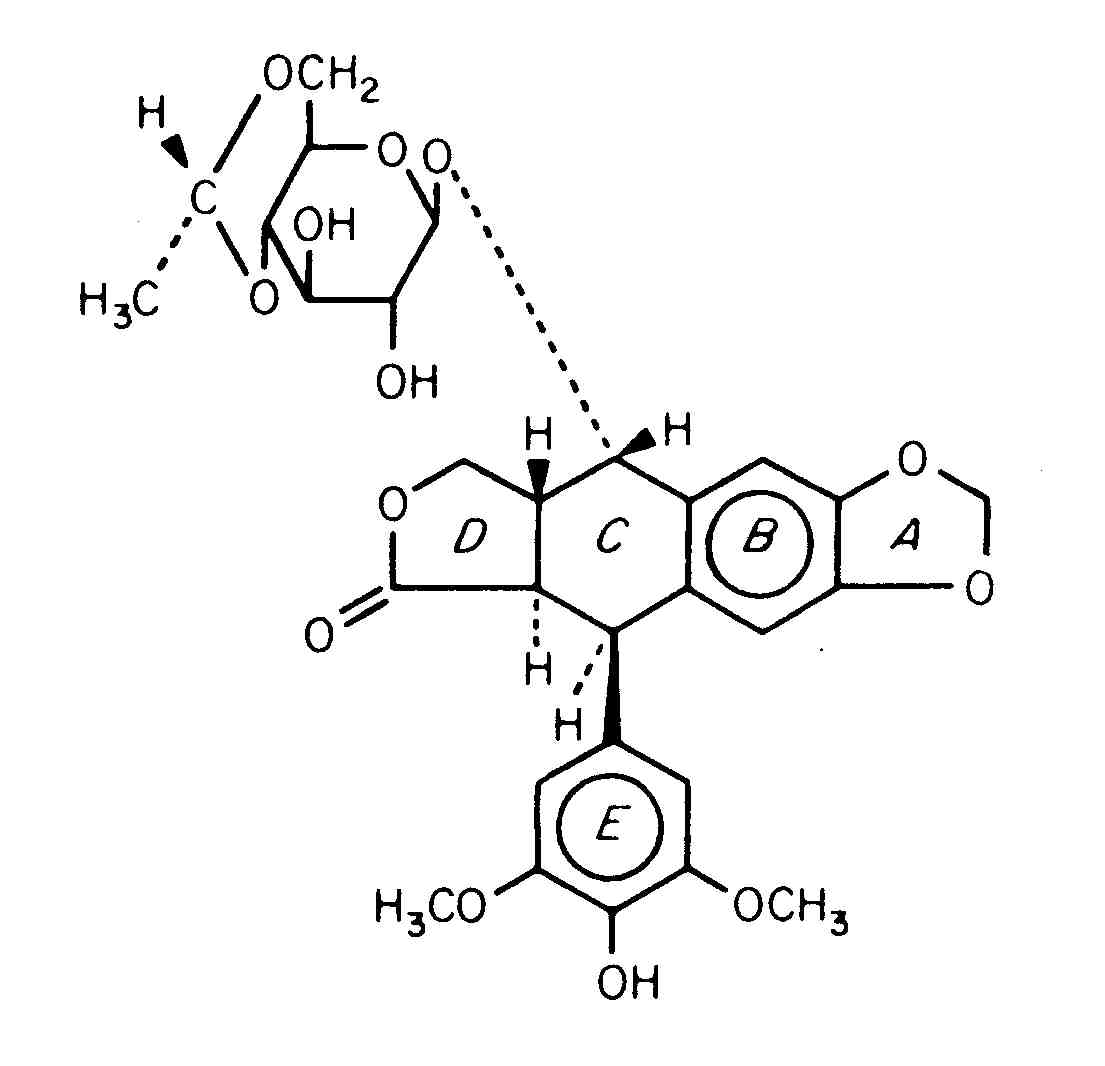
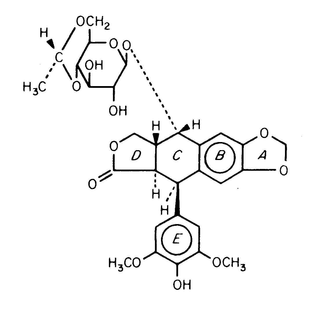
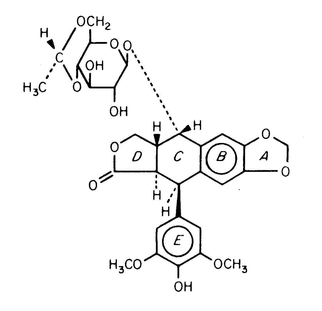
   Химична структура  

Орален разтвор
Стабилност на лекарствени препарати   Орален разтвор   Стабилност на лекарствени препарати : Etoposide     
Контейнер Origine Помощно вещество Температура Съхранение Продължителност на стабилността Библиография
Спринцовка Фпакон 20 mg
Vepeside®
Натриев хлорид 0.9% >>2 ml
2-8°C Защита от светлина
31 Ден
1992

Спринцовка Фпакон 20 mg
Vepeside®
Натриев хлорид 0.9% >>2 ml
20-25°C С или без светлина
31 Ден
1992

Спринцовка Фпакон 50 mg
VePesid®
Натриев хлорид 0.9% >> 5 ml
22°C С или без светлина
22 Ден
2482


  Mentions Légales