Utolsó frissítés :
27/01/2026
rákellenes gyógyszer   Etoposide  
belsőleges oldat
Injekció
Stabilitása gyógyszerészeti készítmények A keverékek stabilitása Stabilitást befolyásoló tényezők Kompatibilitás Irodalom pdf
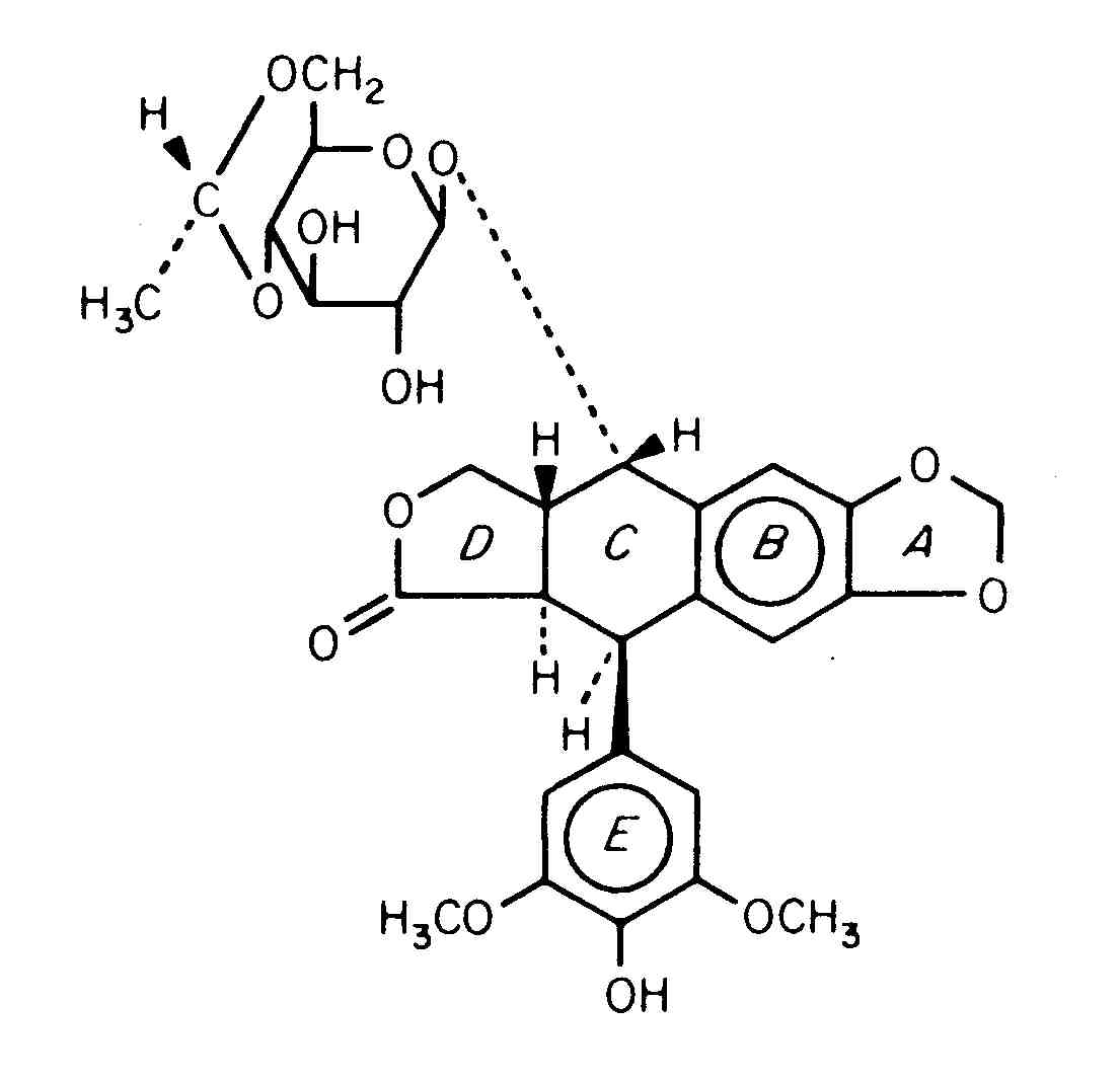
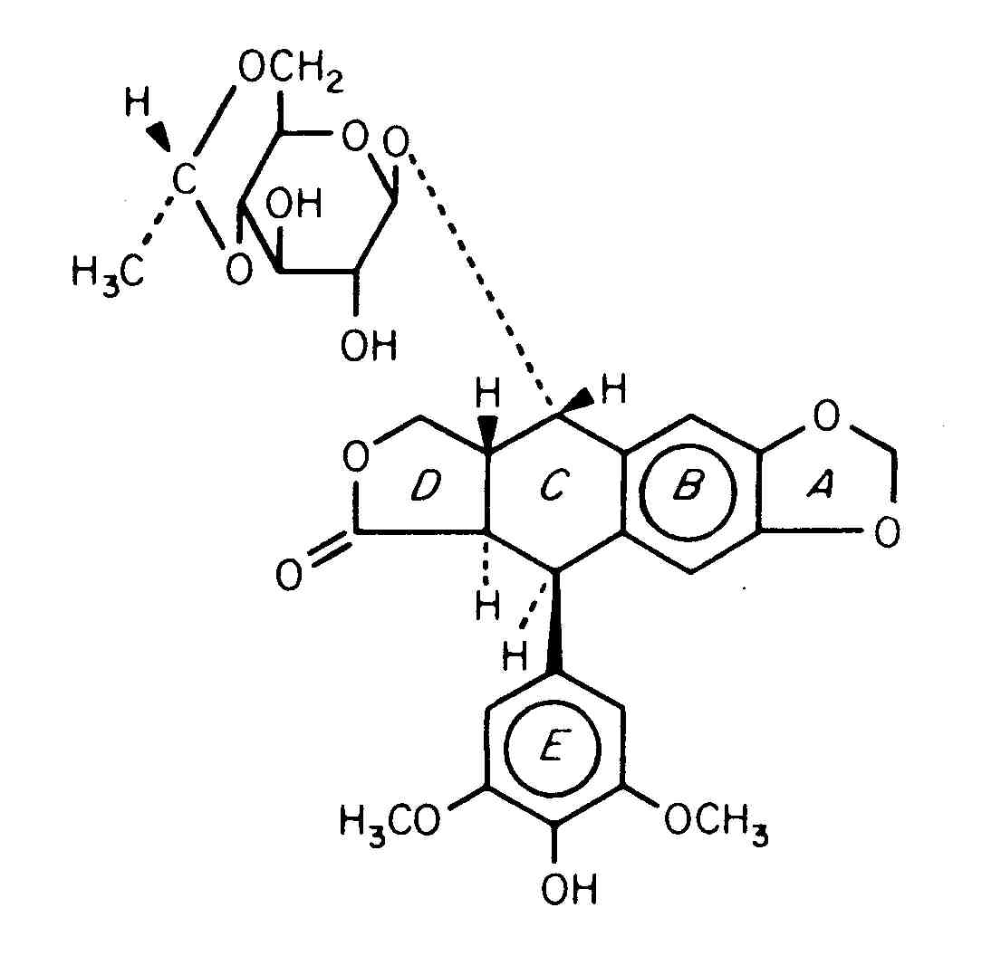
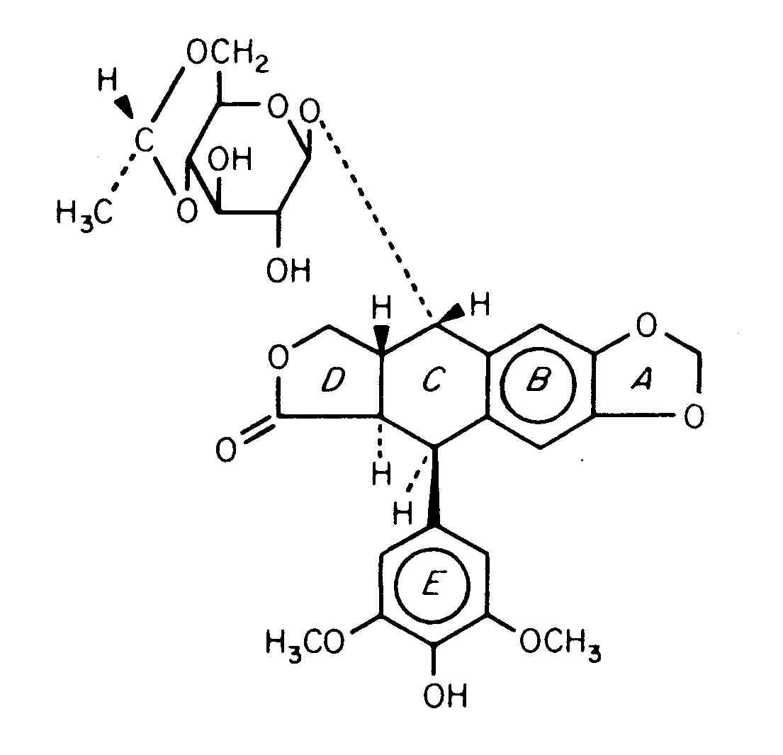
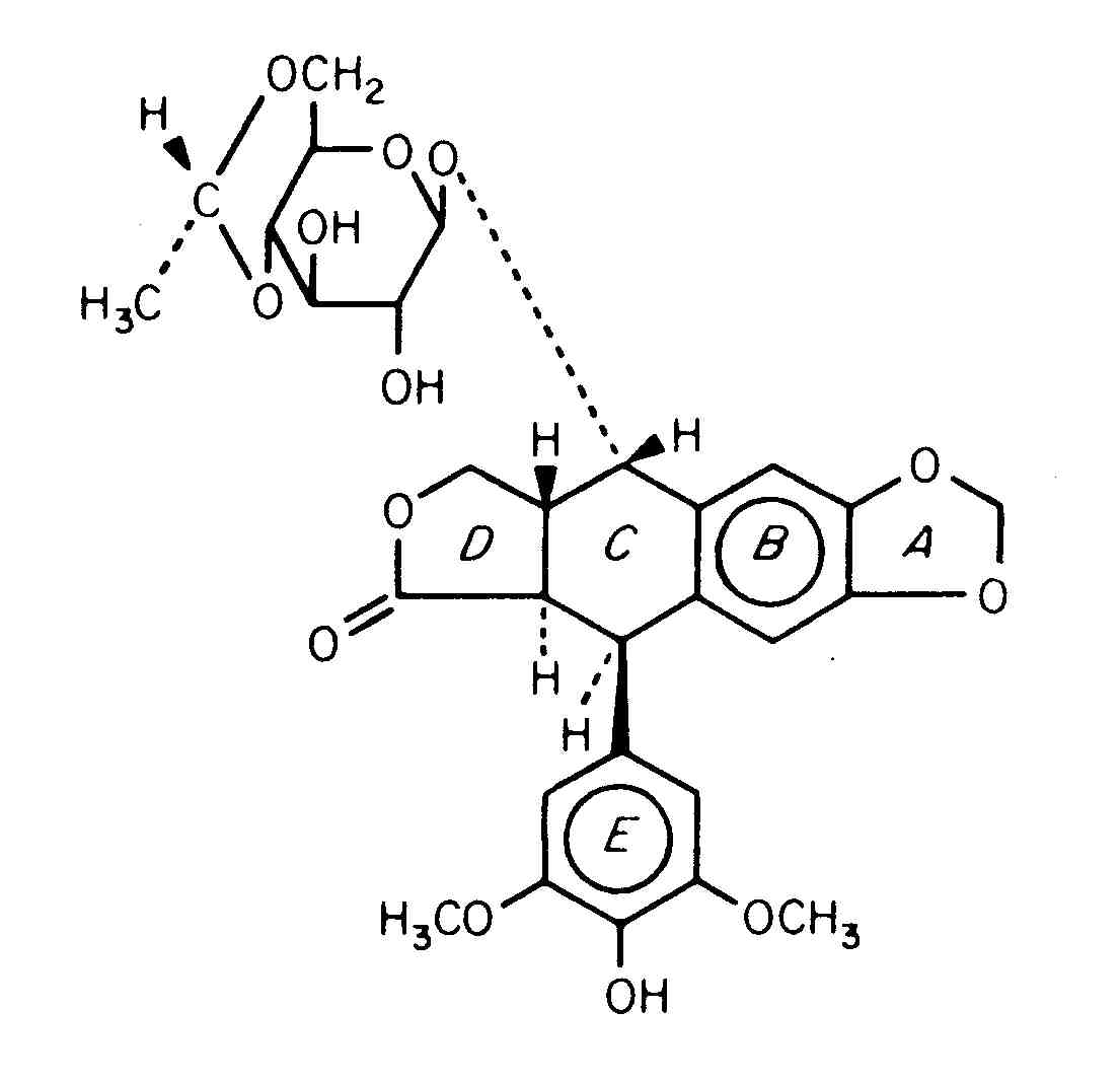
   Kémiai szerkezet   

belsőleges oldat
Stabilitása gyógyszerészeti készítmények   belsőleges oldat   Stabilitása gyógyszerészeti készítmények : Etoposide     
Csomagolás Origine segédanyag Hőmérséklet Tárolás A stabilitás időtartama Irodalom
fecskendő Injekcióhoz való űveg 20 mg
Vepeside®
NaCl 0.9% >>2 ml
2-8°C Fénytől védve tartandó
31 Nap
1992

fecskendő Injekcióhoz való űveg 20 mg
Vepeside®
NaCl 0.9% >>2 ml
20-25°C Fénnyel vagy anélkül
31 Nap
1992

fecskendő Injekcióhoz való űveg 50 mg
VePesid®
NaCl 0.9% >> 5 ml
22°C Fénnyel vagy anélkül
22 Nap
2482


  Mentions Légales