Posledná aktualizácia :
27/01/2026
Protinádorová liečba   Etoposide  
Perorálny roztok
Injekcia
Stabilita farmaceutických prípravkov Stabilita v zmesiach Faktory ovplyvňujúce stabilitu Kompatibility Odkazy na literatúru PDF
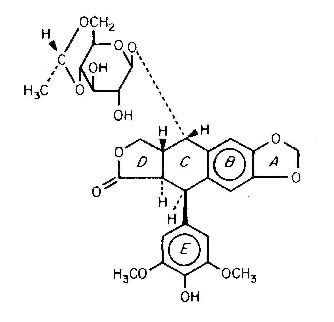
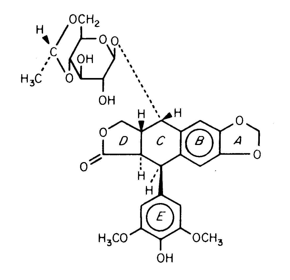
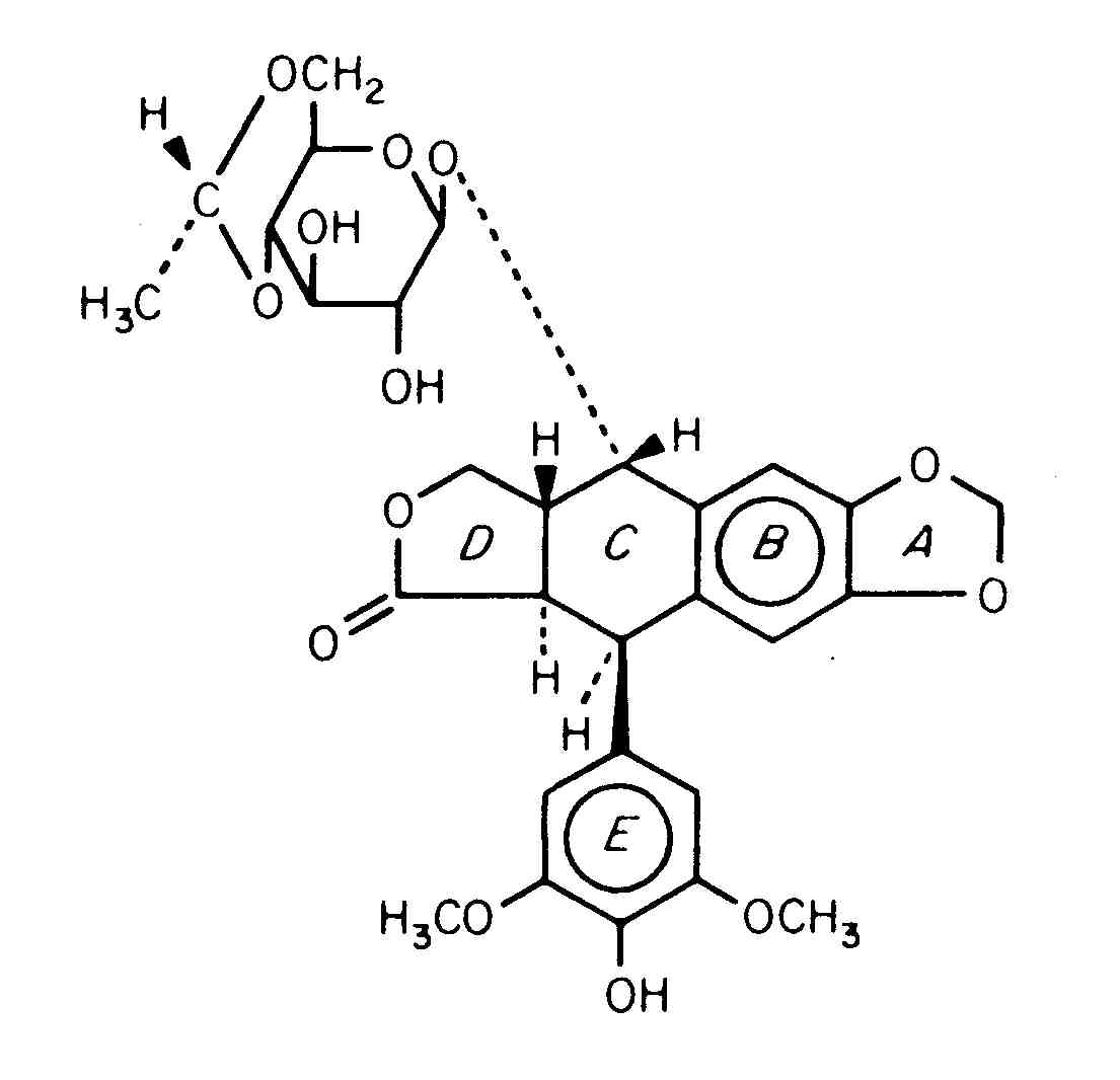
   Chemický vzorec  

Perorálny roztok
Stabilita farmaceutických prípravkov   Perorálny roztok   Stabilita farmaceutických prípravkov : Etoposide     
obal Pôvod Pomocná látka teplota uchovávanie Trvanie stability odkazy na lieteratúru
Injekčná striekačka Injekčná liekovka 20 mg
Vepeside®
NaCl 0.9% >>2 ml
2-8°C Chránené pred svetlom
31 dní
1992

Injekčná striekačka Injekčná liekovka 20 mg
Vepeside®
NaCl 0.9% >>2 ml
20-25°C Za svetla alebo chránené pred svetlom
31 dní
1992

Injekčná striekačka Injekčná liekovka 50 mg
VePesid®
NaCl 0.9% >> 5 ml
22°C Za svetla alebo chránené pred svetlom
22 dní
2482


  Mentions Légales