Dernière mise à jour :
27/01/2026
Anticancéreux   Etoposide  
Solution buvable
injectable
Stabilité des préparations Stabilité en mélange Facteur influençant la stabilité Compatibilités Bibliographie pdf
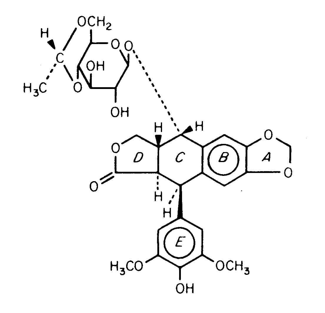
   Structure chimique  

Solution buvable
Stabilité des préparations   Solution buvable   Stabilité des préparations : Etoposide     
Contenant Origine Excipient Température Conservation Durée de stabilité Bibliographie
Seringue PP orale Flacon injectable 20 mg
Vepeside®
NaCl 0.9% >>2 ml
2-8°C A l’abri de la lumière
31 Jour
1992

Seringue PP orale Flacon injectable 20 mg
Vepeside®
NaCl 0.9% >>2 ml
20-25°C Avec ou sans lumière
31 Jour
1992

Seringue PP orale Flacon injectable 50 mg
VePesid®
NaCl 0.9% >> 5 ml
22°C Avec ou sans lumière
22 Jour
2482


  Mentions Légales