Poslední aktualizace :
18/03/2026
rakovina drog   Etoposide  
Perorální roztok
injekce
Stabilita farmaceutických přípravků Stabilita směsí Faktory ovlivňující stabilitu Kompatibilita Odkazy pdf
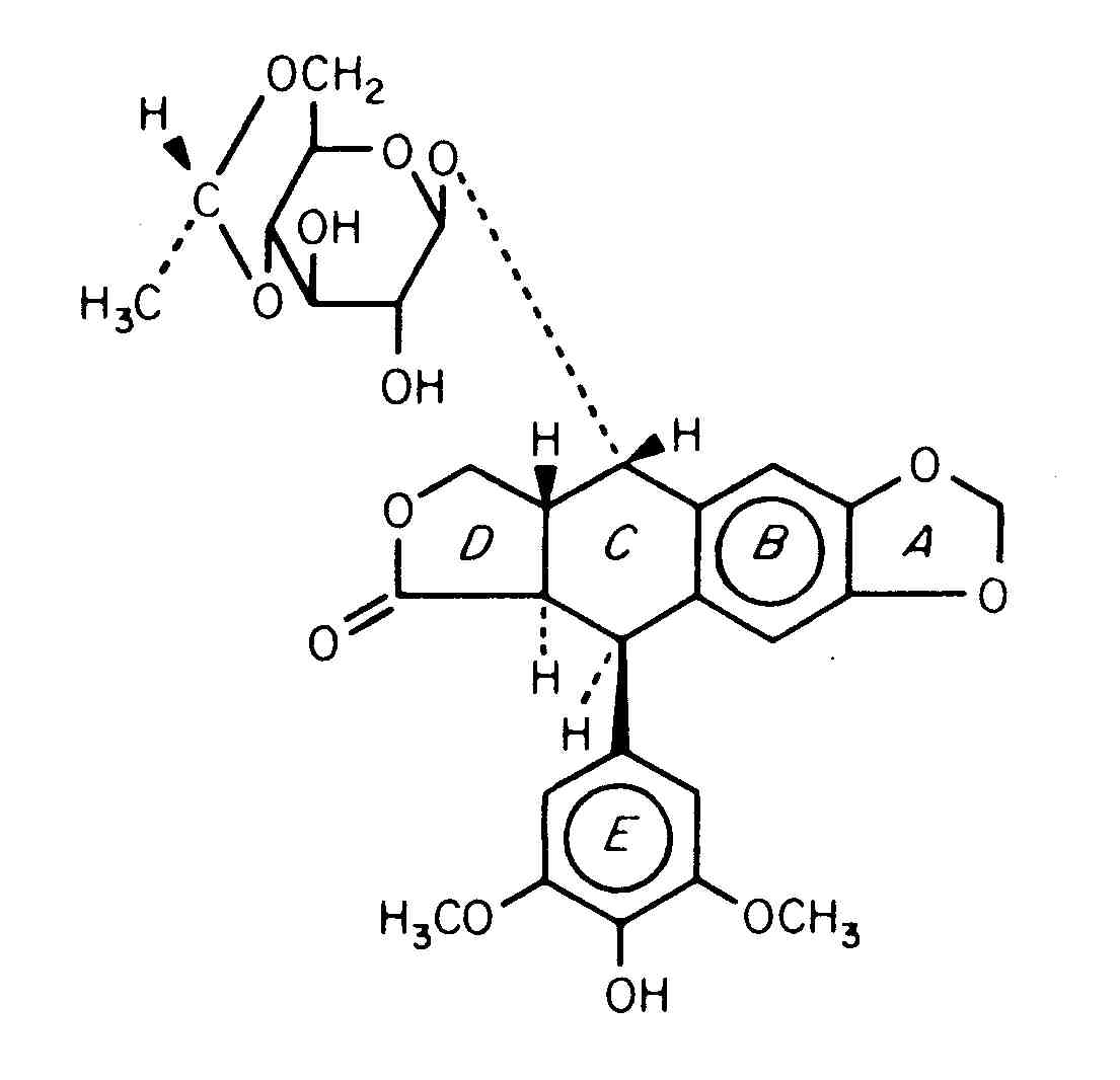
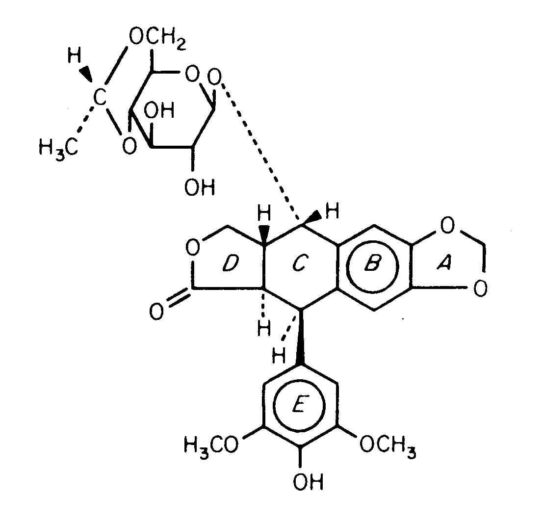
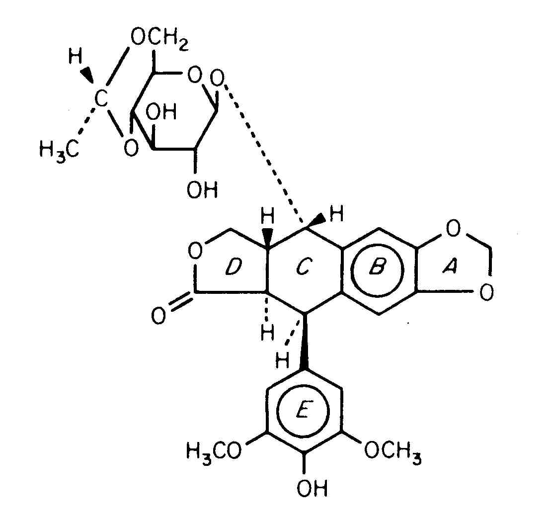
   Chemický vzorec  

Perorální roztok
Stabilita farmaceutických přípravků   Perorální roztok   Stabilita farmaceutických přípravků : Etoposide     
Obal Origine Pomocné látky Teplota Uchovávání Trvání stability Odkazy
stříkačka Lékovka pro injekci 20 mg
Vepeside®
NaCl 0.9% >>2 ml
2-8°C Chráněno před světlem
31 Den
1992

stříkačka Lékovka pro injekci 20 mg
Vepeside®
NaCl 0.9% >>2 ml
20-25°C S nebo bez svÏtla
31 Den
1992

stříkačka Lékovka pro injekci 50 mg
VePesid®
NaCl 0.9% >> 5 ml
22°C S nebo bez svÏtla
22 Den
2482


  Mentions Légales