Ostatnia aktualizacja :
05/12/2025
Infostab
Listy
Listy
Szukaj zgodności
Tabela kompatybilności Y-site
Bibliografia
Zespoły badawcze
valistab
plakat
Połączenia
sponsorzy
Autor
Przewodnik użytkoywnika
Biuletynu
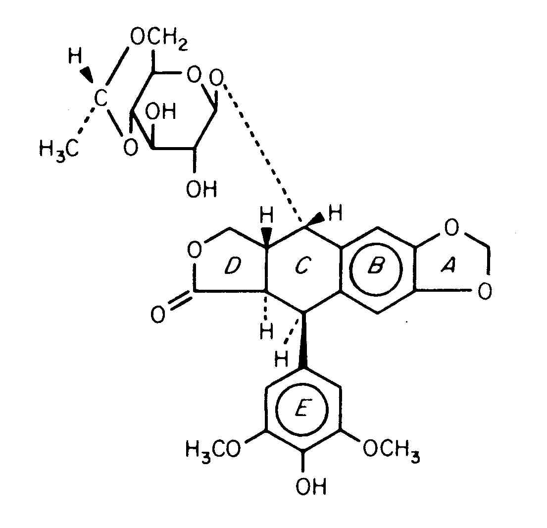
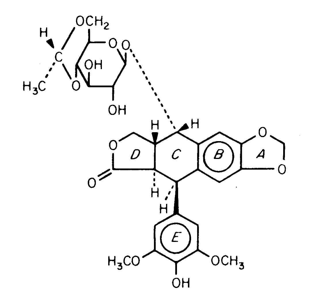
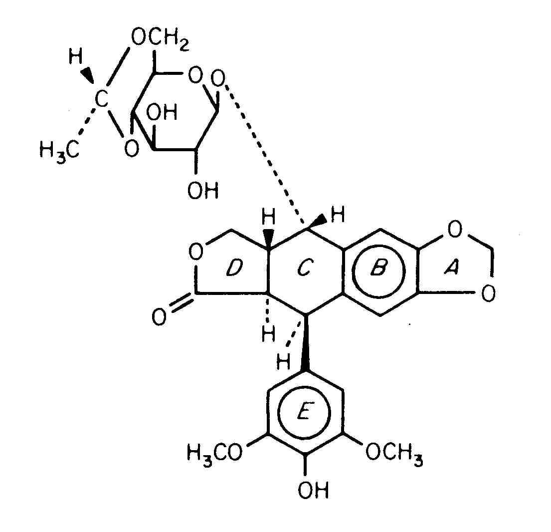
Etoposide
Struktura chemiczna
Stabilność preparatów farmaceutycznych : Etoposide
20 mg
Vepeside®
NaCl 0.9%
>>2 ml
2-8°C
31
1992
20 mg
Vepeside®
NaCl 0.9%
>>2 ml
20-25°C
31
1992
50 mg
VePesid®
NaCl 0.9%
>> 5 ml
22°C
22
2482
Mentions Légales