Poslední aktualizace :
27/04/2026
vėžio narkotikų   Etoposide  
Geriamas tirpalas
Įpurškimas
Stabilumas farmacinių preparatų Mišinių stabilumas Stabilumą lemiantys veiksniai Suderinamumas Bibliografija pdf
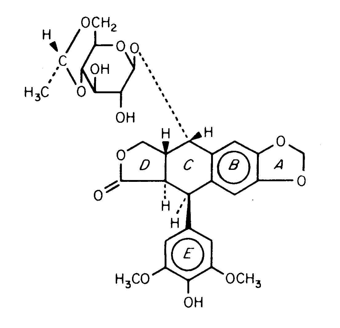
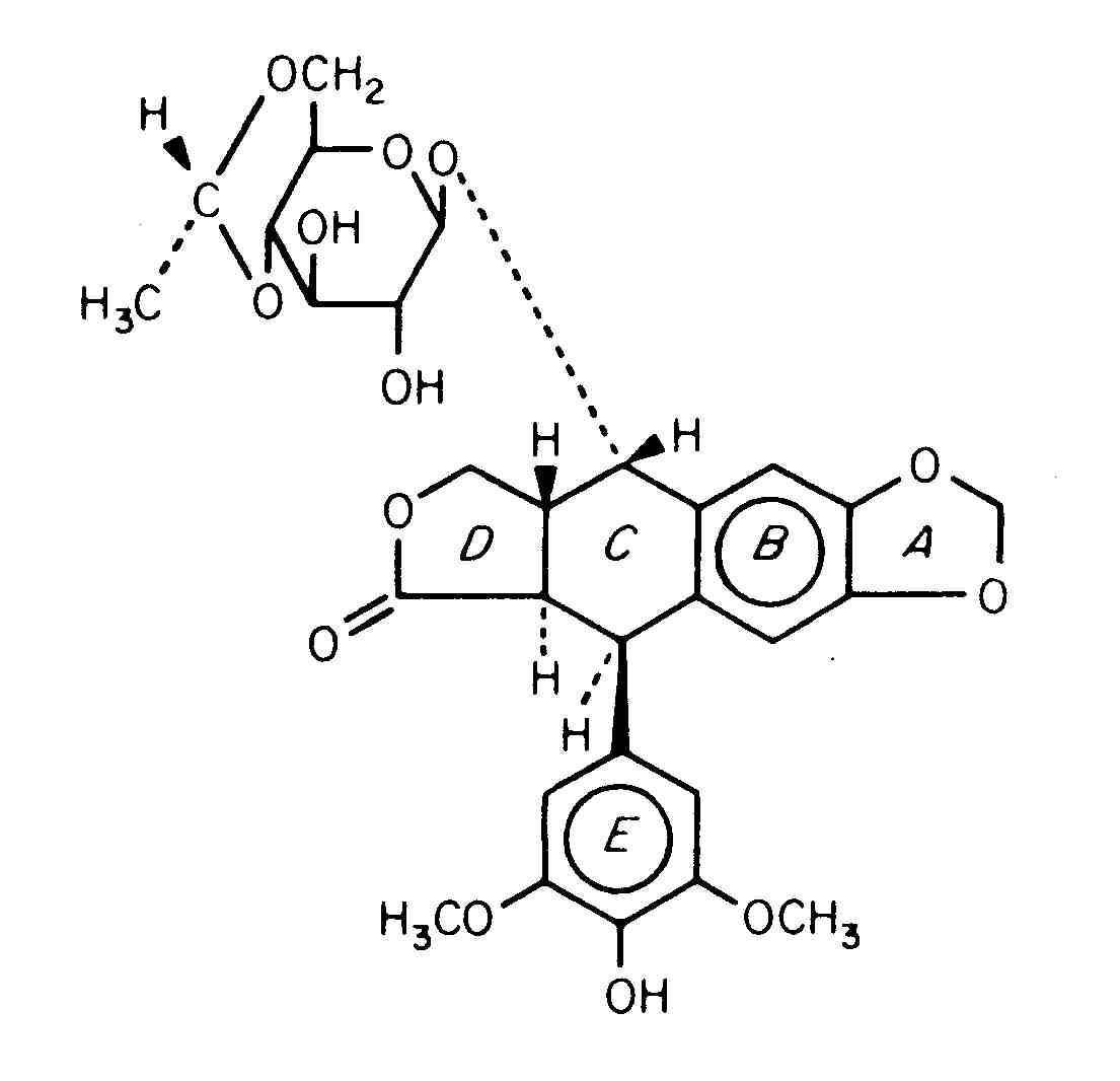
   Cheminė sandara  

Geriamas tirpalas
Stabilumas farmacinių preparatų   Geriamas tirpalas   Stabilumas farmacinių preparatų : Etoposide     
Pakuotė Origine Ekscipientas Temperatūra Laikymas Stabilumo trukmė Nuorodos
Švirkštas Vaistų buteliukas injekcijoms 20 mg
Vepeside®
NaCl 0,9 % >>2 ml
2-8°C Apsaugotas nuo šviesos
31 Diena
1992

Švirkštas Vaistų buteliukas injekcijoms 20 mg
Vepeside®
NaCl 0,9 % >>2 ml
20-25°C Ir šviesoje, ir tamsoje
31 Diena
1992

Švirkštas Vaistų buteliukas injekcijoms 50 mg
VePesid®
NaCl 0,9 % >> 5 ml
22°C Ir šviesoje, ir tamsoje
22 Diena
2482


  Mentions Légales