Cập nhật lần cuối :
05/12/2025
thuốc trị ung thư   Etoposide  
Dung dịch uống
Dạng tiêm
Tính ổn định của các chế phẩm Độ ổn định khi trộn lẫn Những yếu tố ảnh hưởng đến độ ổn định Khả năng tương thích Tài liệu tham khảo Pdf
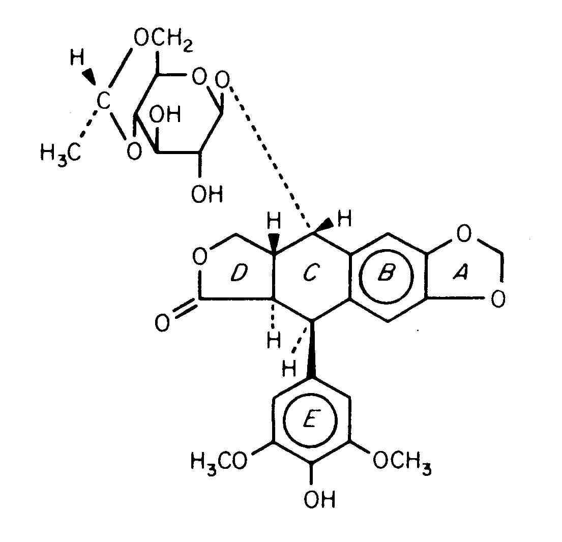
   Cấu trúc hóa học  

Dung dịch uống
Tính ổn định của các chế phẩm   Dung dịch uống   Tính ổn định của các chế phẩm : Etoposide     
Bao bì Nguyên bản Tá dược Nhiệt độ Bảo quản Thời gian ổn định Mục lục
Ống tiêm bằng nhựa polypropylen đường uống Lọ thuốc tiêm 20 mg
Vepeside®
NaCl 0,9% >>2 ml
2-8°C Tránh ánh sáng
31 Ngày
1992

Ống tiêm bằng nhựa polypropylen đường uống Lọ thuốc tiêm 20 mg
Vepeside®
NaCl 0,9% >>2 ml
20-25°C Có hoặc không có tiếp xúc với ánh sáng
31 Ngày
1992

Ống tiêm bằng nhựa polypropylen đường uống Lọ thuốc tiêm 50 mg
VePesid®
NaCl 0,9% >> 5 ml
22°C Có hoặc không có tiếp xúc với ánh sáng
22 Ngày
2482


  Mentions Légales