Cập nhật lần cuối :
27/01/2026
Thuốc ức chế bơm proton   Omeprazole sodium  
Dung dịch uống
Dạng tiêm
Tính ổn định của các chế phẩm Độ ổn định khi trộn lẫn Những yếu tố ảnh hưởng đến độ ổn định Khả năng tương thích Tài liệu tham khảo Pdf
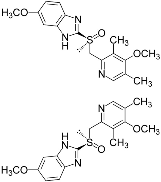
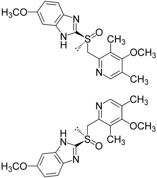
   Cấu trúc hóa học  

Dung dịch uống
Độ ổn định khi trộn lẫn   Dung dịch uống   Độ ổn định khi trộn lẫn : Omeprazole sodium     
Không có dữ liệu

  Mentions Légales