Son güncelleme :
27/01/2026
Proton pompası inhibitörü   Omeprazole sodium  
Oral solüsyon / oral çözelti
Enjeksiyon
Farmasötik preparatlar Kararlılığı Karışımlardaki stabilitesi Stabiliteyi etkileyen faktörler Uyumluluk Kaynaklar pdf
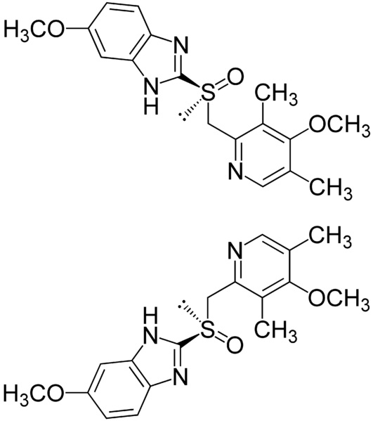
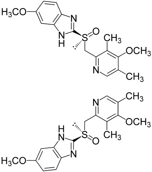
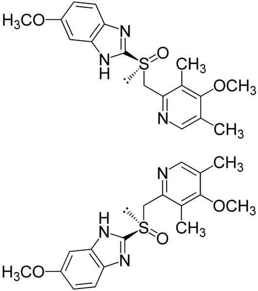
   Kimyasal yapı   

Oral solüsyon / oral çözelti
Karışımlardaki stabilitesi   Oral solüsyon / oral çözelti   Karışımlardaki stabilitesi : Omeprazole sodium     
veri yok

  Mentions Légales