Viimeisin päivitys :
27/01/2026
Protonipumpun estäjät   Omeprazole sodium  
Oraaliliuos
Injektioneste
Vakaus lääkevalmisteen Stabilius seoksissa Tekijät, jotka vaikuttavat stabiliuteen Yhteensopivuus Viitteet pdf
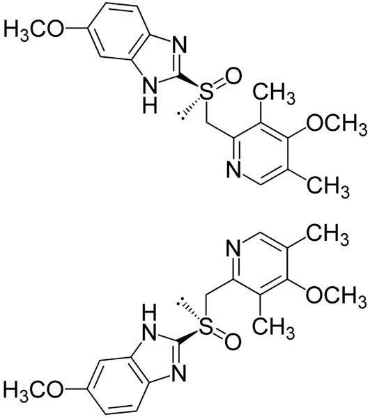
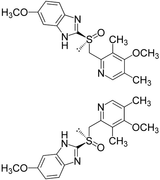
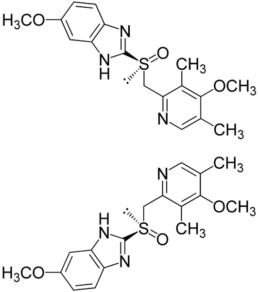
   Kemiallinen rakenne  

Oraaliliuos
Stabilius seoksissa   Oraaliliuos   Stabilius seoksissa : Omeprazole sodium     
ei tietoa

  Mentions Légales