Pēdējā atjaunošana :
27/01/2026
Protonu pumpja inhibitors   Omeprazole sodium  
Orāls šķīdums
Injekcija
Stabilitāte farmaceitisko preparātu Maisījuma stabilitāte Stabilitāti ietekmējoši faktori Saderība Literatūras saraksts pdf
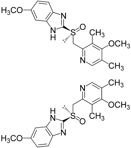
   Ķīmiskā uzbūve   

Orāls šķīdums
Maisījuma stabilitāte   Orāls šķīdums   Maisījuma stabilitāte : Omeprazole sodium     
Nav datu

  Mentions Légales