Ultimo aggiornamento :
27/01/2026
Inibitore della pompa protonica   Omeprazole sodium  
Soluzione orale
Iniezione
Stabilità dei preparati farmaceutici Stabilità in miscela Fattori che influenzano la stabilità Compatibilità Bibliografia pdf
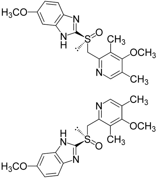
   Struttura chimica  

Soluzione orale
Stabilità in miscela   Soluzione orale   Stabilità in miscela : Omeprazole sodium     
Assenza di dati

  Mentions Légales