zadnja posodobitev :
27/01/2026
Zaviralec protonske črpalke   Omeprazole sodium  
Peroralna raztopina
Brizgalka
Stabilnost farmacevtskih preparatov Stabilnost mešanice Faktorji, ki vplivajo na stabilnost Kompatibilnost Viri pdf
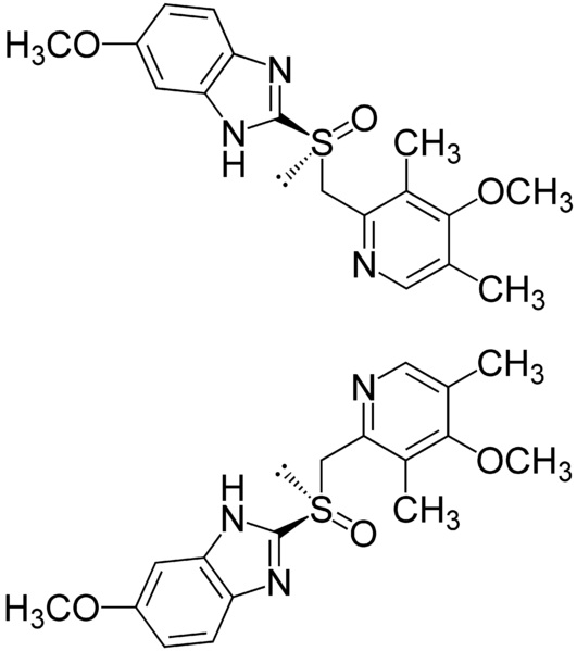
   Kemična formula  

Peroralna raztopina
Stabilnost mešanice   Peroralna raztopina   Stabilnost mešanice : Omeprazole sodium     
ni podatka

  Mentions Légales