Letztes “update” :
27/01/2026
Protonenpumpenhemmer   Omeprazole sodium  
Lösung zum Einnehmen
Injektion
Stabilität von pharmazeutischen Präparaten Gemengestabilität Stabilitätbeeinflussende Faktoren Kompatibilitäten Literaturverzeichnis pdf
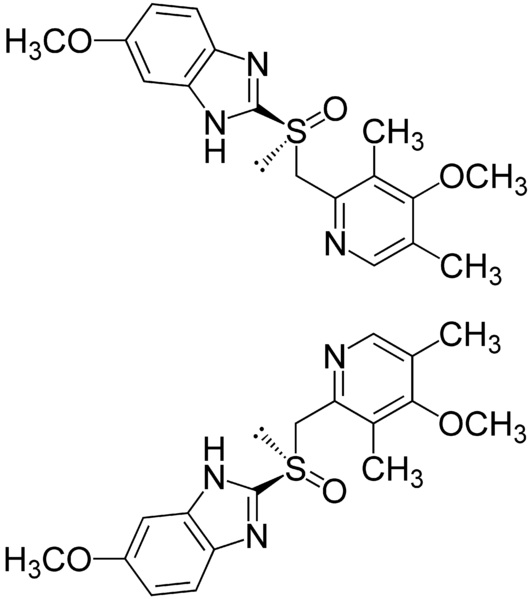
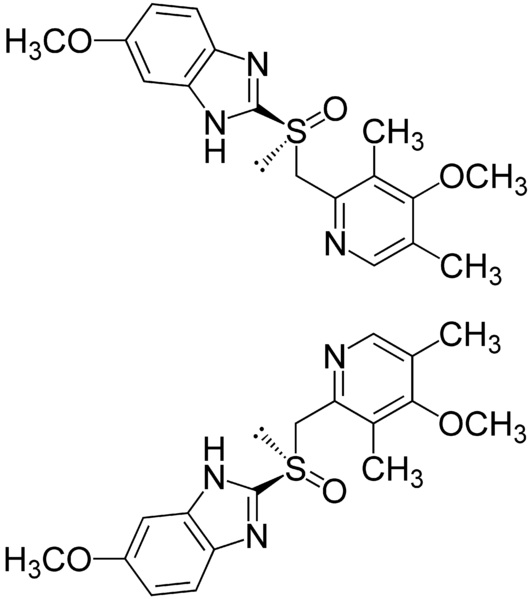
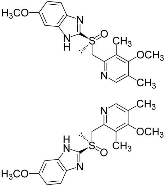
   Chemische Struktur  

Lösung zum Einnehmen
Gemengestabilität   Lösung zum Einnehmen   Gemengestabilität : Omeprazole sodium     
Keine Daten

  Mentions Légales