Poslední aktualizace :
27/01/2026
Inhibitor protonovÈ pumpy   Omeprazole sodium  
Perorální roztok
injekce
Stabilita farmaceutických přípravků Stabilita směsí Faktory ovlivňující stabilitu Kompatibilita Odkazy pdf
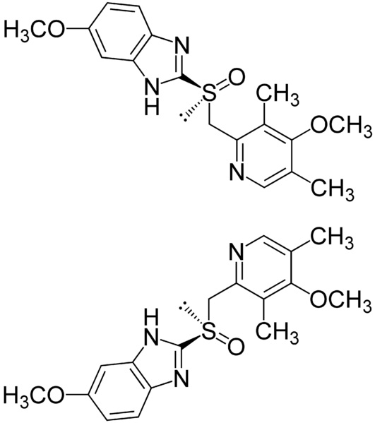
   Chemický vzorec  

Perorální roztok
Stabilita směsí   Perorální roztok   Stabilita směsí : Omeprazole sodium     
žádná data

  Mentions Légales