Останнє оновлення :
27/01/2026
Інгібітор протонної помпи   Omeprazole sodium  
Розчин для перорального застосування
ін'єкція
Стабільність фармацевтичних препаратів Стійкість сумішей Фактори, що впливають на стабільність Сумісність Список літератури pdf
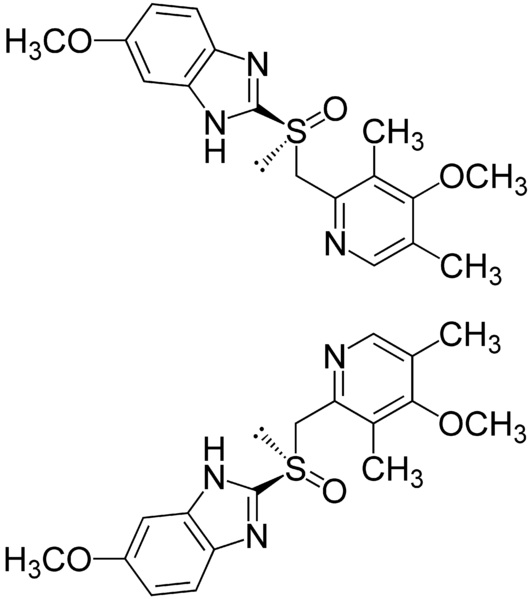
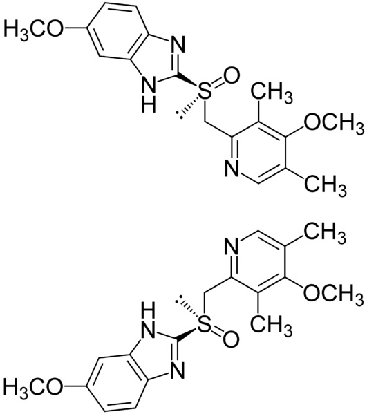
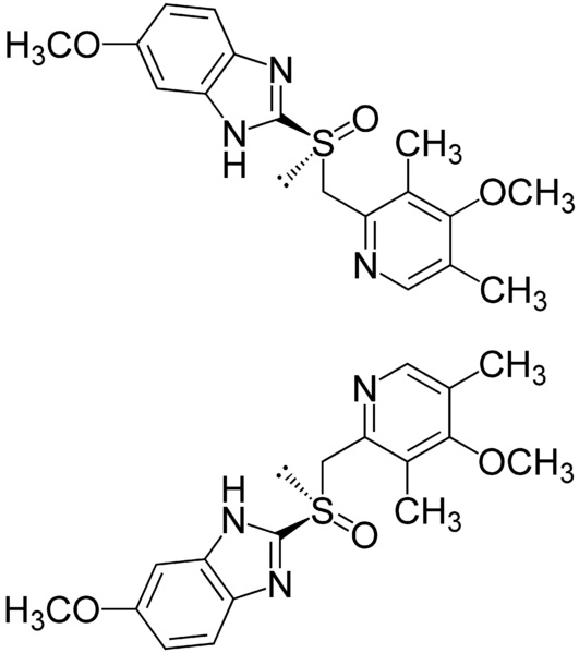
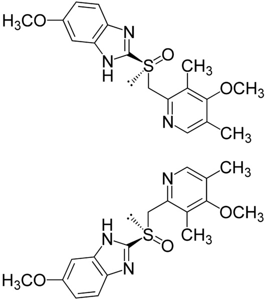
   Хімічна структура  

Розчин для перорального застосування
Стійкість сумішей   Розчин для перорального застосування   Стійкість сумішей : Omeprazole sodium     
7 / 5 000 Résultats de traduction Немає даних

  Mentions Légales