Seneste opdatering :
27/01/2026
Protonpumpehæmmer   Omeprazole sodium  
Oral opløsning
Injektion
Stabilitet af farmaceutiske tilberedninger Stabilitet i blandinger Faktorer der påvirker stabiliteten Kompatibilitet Bibliografi pdf
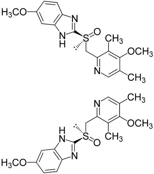
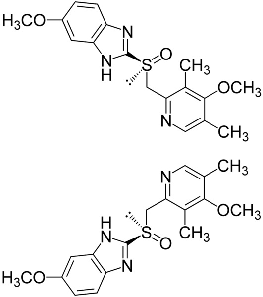
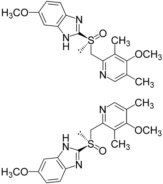
   Kemisk struktur  

Oral opløsning
Stabilitet i blandinger   Oral opløsning   Stabilitet i blandinger : Omeprazole sodium     
Ingen data

  Mentions Légales