Poslední aktualizace :
27/01/2026
Protonų siurblio inhibitorius   Omeprazole sodium  
Geriamas tirpalas
Įpurškimas
Stabilumas farmacinių preparatų Mišinių stabilumas Stabilumą lemiantys veiksniai Suderinamumas Bibliografija pdf
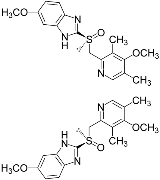
   Cheminė sandara  

Geriamas tirpalas
Mišinių stabilumas   Geriamas tirpalas   Mišinių stabilumas : Omeprazole sodium     
Nėra duomenų

  Mentions Légales