Останнє оновлення :
27/04/2026
Антибіотик   Colistin mesilate sodium  
аерозоль
ін'єкція
Стабільність фармацевтичних препаратів Стійкість сумішей Фактори, що впливають на стабільність Сумісність Список літератури pdf
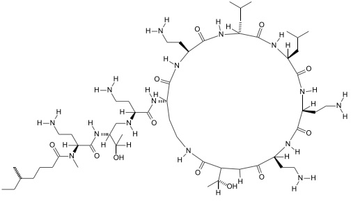
   Хімічна структура  

аерозоль
Стійкість сумішей   аерозоль   Стійкість сумішей : Colistin mesilate sodium     
Контейнер допоміжна речовина З'єднання температура Зберігання Тривалість стабільності Список літератури
Поліпропілен
аерозоль   Colistin mesilate sodium Пляшка для ін'єкцій80mg/3mL  Colistin CF®
аерозоль   Tobramycin sulfate Пляшка для ін'єкцій30mg/4 mL  Bramitob® (Asche Chiesi)
25°C
24 годину
світло 3440
Поліпропілен
аерозоль   Colistin mesilate sodium Пляшка для ін'єкцій80mg/3mL  Colistin CF®
аерозоль   Tobramycin sulfate Пляшка для ін'єкцій300mg/5mL  Tobi® (Novartis)
25°C
24 годину
світло 3440
Поліпропілен
аерозоль   Colistin mesilate sodium Пляшка для ін'єкцій80mg/3mL  Colistin CF®
аерозоль   Tobramycin sulfate Пляшка для ін'єкцій300mg/4mL  Bramitob® (Asche Chiesi)
25°C
24 годину
світло 3440

  Mentions Légales