Τελευταία ενημέρωση :
27/04/2026
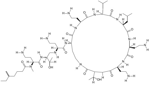
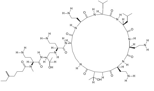
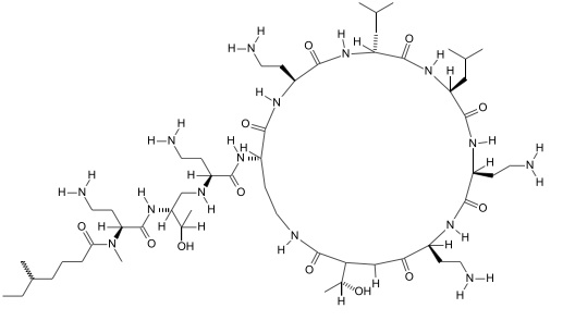
Αντιβιοτικό   Colistin mesilate sodium  
Αεροζόλ
Ενέσιμο
Σταθερότητα και συμβατότητα των φαρμάκων Σταθερότητα σε μίγματα Παράγοντας που επηρεάζει τη σταθερότητα Συμβατότητες Βιβλιογραφία pdf
   χημική δομή  

Αεροζόλ
Σταθερότητα σε μίγματα   Αεροζόλ   Σταθερότητα σε μίγματα : Colistin mesilate sodium     
Υποδοχέας Έκδοχο Συστατικό Θερμοκρασία Αποθήκευση Διάρκεια σταθερότητας Βιβλιογραφία
Πολυπροπυλένιο
Αεροζόλ   Colistin mesilate sodium Φιαλίδιο φαρμάκου για ένεση80mg/3mL  Colistin CF®
Αεροζόλ   Tobramycin sulfate Φιαλίδιο φαρμάκου για ένεση30mg/4 mL  Bramitob® (Asche Chiesi)
25°C
24 Ώρα
Φως 3440
Πολυπροπυλένιο
Αεροζόλ   Colistin mesilate sodium Φιαλίδιο φαρμάκου για ένεση80mg/3mL  Colistin CF®
Αεροζόλ   Tobramycin sulfate Φιαλίδιο φαρμάκου για ένεση300mg/5mL  Tobi® (Novartis)
25°C
24 Ώρα
Φως 3440
Πολυπροπυλένιο
Αεροζόλ   Colistin mesilate sodium Φιαλίδιο φαρμάκου για ένεση80mg/3mL  Colistin CF®
Αεροζόλ   Tobramycin sulfate Φιαλίδιο φαρμάκου για ένεση300mg/4mL  Bramitob® (Asche Chiesi)
25°C
24 Ώρα
Φως 3440

  Mentions Légales