Siste oppdatering :
27/04/2026
Antibiotika   Colistin mesilate sodium  
Aerosol
Injeksjon
Stabilitet av farmasøytiske preparater Stabilitet i blandinger Faktorer som påvirker stabiliteten Kompatibilitet Referanser pdf
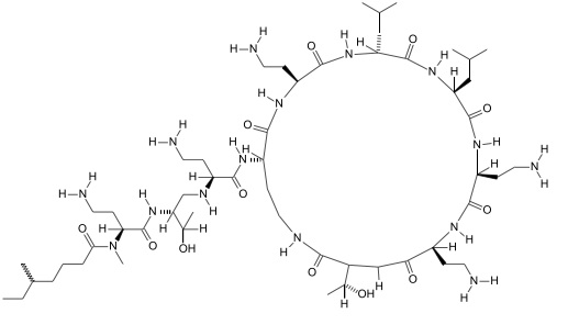
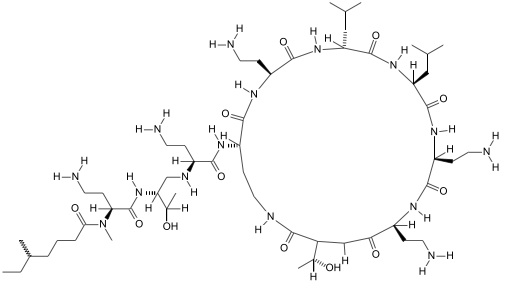
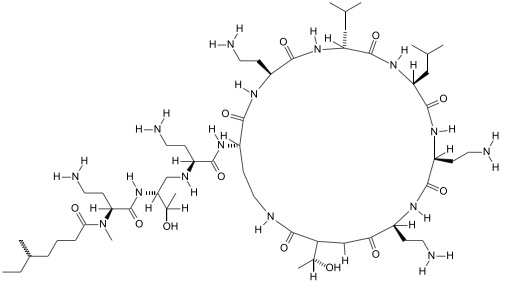
   Kjemisk struktur  

Aerosol
Stabilitet i blandinger   Aerosol   Stabilitet i blandinger : Colistin mesilate sodium     
Beholder Hjelpestoff Legemiddel Temperatur Oppbevaring Varighet av stabilitet Referanser
Polypropylen
Aerosol   Colistin mesilate sodium Hetteglass80mg/3mL  Colistin CF®
Aerosol   Tobramycin sulfate Hetteglass30mg/4 mL  Bramitob® (Asche Chiesi)
25°C
24 Tid
Lys 3440
Polypropylen
Aerosol   Colistin mesilate sodium Hetteglass80mg/3mL  Colistin CF®
Aerosol   Tobramycin sulfate Hetteglass300mg/5mL  Tobi® (Novartis)
25°C
24 Tid
Lys 3440
Polypropylen
Aerosol   Colistin mesilate sodium Hetteglass80mg/3mL  Colistin CF®
Aerosol   Tobramycin sulfate Hetteglass300mg/4mL  Bramitob® (Asche Chiesi)
25°C
24 Tid
Lys 3440

  Mentions Légales