Dernière mise à jour :
27/04/2026
Antibiotique   Colistin mesilate sodium  
Aérosol
injectable
Stabilité des préparations Stabilité en mélange Facteur influençant la stabilité Compatibilités Bibliographie pdf
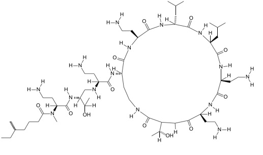
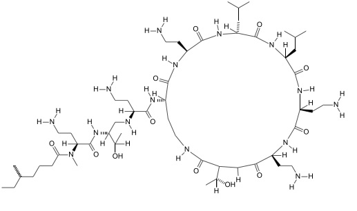
   Structure chimique  

Aérosol
Stabilité en mélange   Aérosol   Stabilité en mélange : Colistin mesilate sodium     
Contenant Excipient Molécule Température Conservation Durée de stabilité Bibliographie
Polypropylène
Aérosol   Colistin mesilate sodium Flacon injectable80mg/3mL  Colistin CF®
Aérosol   Tobramycin sulfate Flacon injectable30mg/4 mL  Bramitob® (Asche Chiesi)
25°C
24 Heure
Lumière 3440
Polypropylène
Aérosol   Colistin mesilate sodium Flacon injectable80mg/3mL  Colistin CF®
Aérosol   Tobramycin sulfate Flacon injectable300mg/5mL  Tobi® (Novartis)
25°C
24 Heure
Lumière 3440
Polypropylène
Aérosol   Colistin mesilate sodium Flacon injectable80mg/3mL  Colistin CF®
Aérosol   Tobramycin sulfate Flacon injectable300mg/4mL  Bramitob® (Asche Chiesi)
25°C
24 Heure
Lumière 3440

  Mentions Légales