zadnja posodobitev :
27/04/2026
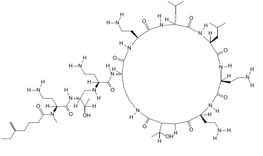
Antibiotik   Colistin mesilate sodium  
Aerosol
Brizgalka
Stabilnost farmacevtskih preparatov Stabilnost mešanice Faktorji, ki vplivajo na stabilnost Kompatibilnost Viri pdf
   Kemična formula  

Aerosol
Stabilnost mešanice   Aerosol   Stabilnost mešanice : Colistin mesilate sodium     
Vsebnik Ekscipient Sestava Temperatura Shranjevanje Trajanje stabilnosti Viri
Polipropilen
Aerosol   Colistin mesilate sodium Medicinske steklenica za injiciranje80mg/3mL  Colistin CF®
Aerosol   Tobramycin sulfate Medicinske steklenica za injiciranje30mg/4 mL  Bramitob® (Asche Chiesi)
25°C
24 čas
Svetloba 3440
Polipropilen
Aerosol   Colistin mesilate sodium Medicinske steklenica za injiciranje80mg/3mL  Colistin CF®
Aerosol   Tobramycin sulfate Medicinske steklenica za injiciranje300mg/5mL  Tobi® (Novartis)
25°C
24 čas
Svetloba 3440
Polipropilen
Aerosol   Colistin mesilate sodium Medicinske steklenica za injiciranje80mg/3mL  Colistin CF®
Aerosol   Tobramycin sulfate Medicinske steklenica za injiciranje300mg/4mL  Bramitob® (Asche Chiesi)
25°C
24 čas
Svetloba 3440

  Mentions Légales