Последно актуализиране :
27/04/2026
Антибиотик   Colistin mesilate sodium  
Аерозол
Инжекция/Инжекционен
Стабилност на лекарствени препарати Стабилност на смеси Фактори, повлияващи стабилността Съвместимост Библиография Pdf
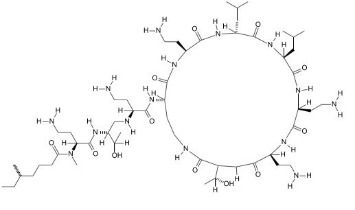
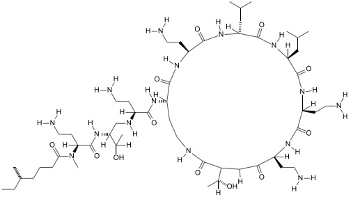
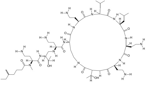
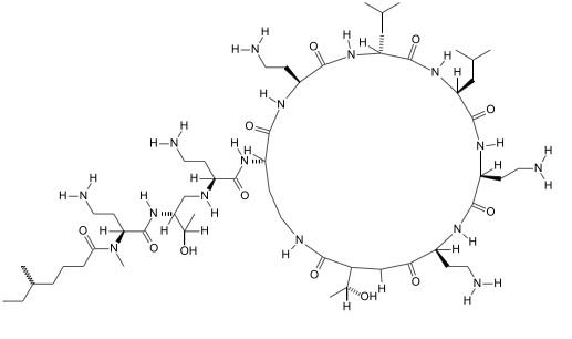
   Химична структура  

Аерозол
Стабилност на смеси   Аерозол   Стабилност на смеси : Colistin mesilate sodium     
Контейнер Помощно вещество Състав / молекула Температура Съхранение Продължителност на стабилността Библиография
Полипропилен
Аерозол   Colistin mesilate sodium Фпакон80mg/3mL  Colistin CF®
Аерозол   Tobramycin sulfate Фпакон30mg/4 mL  Bramitob® (Asche Chiesi)
25°C
24 Час
Светлина 3440
Полипропилен
Аерозол   Colistin mesilate sodium Фпакон80mg/3mL  Colistin CF®
Аерозол   Tobramycin sulfate Фпакон300mg/5mL  Tobi® (Novartis)
25°C
24 Час
Светлина 3440
Полипропилен
Аерозол   Colistin mesilate sodium Фпакон80mg/3mL  Colistin CF®
Аерозол   Tobramycin sulfate Фпакон300mg/4mL  Bramitob® (Asche Chiesi)
25°C
24 Час
Светлина 3440

  Mentions Légales