viimane versioon :
27/04/2026
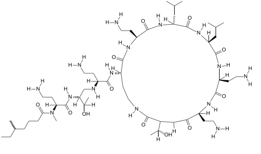
antibiootikum   Colistin mesilate sodium  
aerosool
Süsteravim
Stabiilsust ravimpreparaadid Stabiilsust mõjutavad tegurid stabiilsust mõjutavad faktorid Sobimatus Viited pdf
   keemiline struktuur  

aerosool
Stabiilsust mõjutavad tegurid   aerosool   Stabiilsust mõjutavad tegurid : Colistin mesilate sodium     
konteiner  abiaine ingredient temperatuur ladustamine Stabiilsuse kestus Viited
polüpropüleen
aerosool   Colistin mesilate sodium Süsteravimi viaal80mg/3mL  Colistin CF®
aerosool   Tobramycin sulfate Süsteravimi viaal30mg/4 mL  Bramitob® (Asche Chiesi)
25°C
24 Tund
valgus 3440
polüpropüleen
aerosool   Colistin mesilate sodium Süsteravimi viaal80mg/3mL  Colistin CF®
aerosool   Tobramycin sulfate Süsteravimi viaal300mg/5mL  Tobi® (Novartis)
25°C
24 Tund
valgus 3440
polüpropüleen
aerosool   Colistin mesilate sodium Süsteravimi viaal80mg/3mL  Colistin CF®
aerosool   Tobramycin sulfate Süsteravimi viaal300mg/4mL  Bramitob® (Asche Chiesi)
25°C
24 Tund
valgus 3440

  Mentions Légales