Letztes “update” :
27/04/2026
Antibiotikum   Colistin mesilate sodium  
Aerosol
Injektion
Stabilität von pharmazeutischen Präparaten Gemengestabilität Stabilitätbeeinflussende Faktoren Kompatibilitäten Literaturverzeichnis pdf
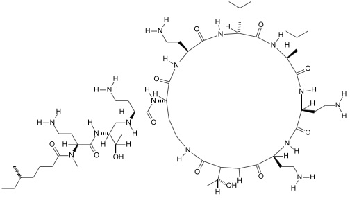
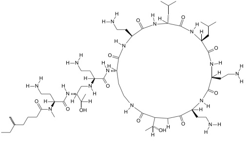
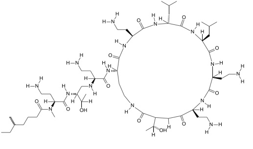
   Chemische Struktur  

Aerosol
Gemengestabilität   Aerosol   Gemengestabilität : Colistin mesilate sodium     
Behälter Hilfsstoff Molekül Temperatur Konservierung Dauer der Stabilität Literaturverzeichnis
Polypropylen
Aerosol   Colistin mesilate sodium Injektionsflasche80mg/3mL  Colistin CF®
Aerosol   Tobramycin sulfate Injektionsflasche30mg/4 mL  Bramitob® (Asche Chiesi)
25°C
24 Stunde
Licht 3440
Polypropylen
Aerosol   Colistin mesilate sodium Injektionsflasche80mg/3mL  Colistin CF®
Aerosol   Tobramycin sulfate Injektionsflasche300mg/5mL  Tobi® (Novartis)
25°C
24 Stunde
Licht 3440
Polypropylen
Aerosol   Colistin mesilate sodium Injektionsflasche80mg/3mL  Colistin CF®
Aerosol   Tobramycin sulfate Injektionsflasche300mg/4mL  Bramitob® (Asche Chiesi)
25°C
24 Stunde
Licht 3440

  Mentions Légales